2022-09-26

《Frontiers in Genetics》
影响因子:4.772
近日,上海市农业科学院在遗传学领域《Frontiers in Genetics》发表新研究成果!该文基于中国19个地理区系的137个野生黄鳝(Monopterus albus),进行了遗传多样性和群体结构分析,为黄鳝种质资源保护和人工育种提供了新思路。小派今天就分享这篇基于群体进化标准分析而发高分的文章解读,文章的原文索引及链接见文章末尾。
研究背景
黄鳝(Monopterus albus)常见于稻田、泥塘和沼泽地区,广泛分布于印度-马来亚群岛、日本、俄罗斯亚洲部分、中国、缅甸和印度北部。近年来,由于各种农药使用量的增加和工业污染物的排放,野生黄鳝栖息地恶化,捕捞使黄鳝种质资源大大减少。我国黄鳝群体已分化为具有不同遗传特性的地方群体,势必导致物种基因的相互渗透,对种质资源质量造成不可挽回的损害。群体进化分析有助于通过发现黄鳝隐存种,了解黄鳝分类,进而为黄鳝生物地理学和进化多样化提供了研究基础。黄鳝是最受欢迎的淡水养殖鱼类之一,2012年产量为320,966吨。然而,产量不足以满足消费者的需求。因此,研究黄鳝的遗传多样性势在必行,对野生黄鳝资源保护和种质育种具有积极作用。
研究材料与方法
1、实验材料
在中国19个采样点共采集野生黄鳝137个样本。
2、测序平台
Illumina NovaSeq
3、测序方案
简化测序(dd-RAD)
4、分析内容
采样地图绘制、系统发育分析、主成分分析、群体遗传结构分析、遗传多样性分析、分化系数Fst分析等。
研究结果
1. 黄鳝19个群体的SNP分析
在19个黄鳝群体中,共检测到8,941,794个SNP。并进行了在长度排名前20的scaffolds中SNP的分布分析,结果表明,SNP变异的分布不均匀。突变频谱和碱基偏好性分析表明,全基因组SNP变异可分为六种类型,以T:A>C:G和C:G>T:A为主要SNP变异。进一步分析表明,在SNP变异位点前后没有碱基偏好性。使用ANNOVAR软件进行SNP注释分析,结果表明,突变位点主要集中在内含子区和基因间区。

图1:黄鳝19个群体的地理分布图
2. 系统发育和主成分分析
基于SNP位点的系统发育分析表明,19个黄鳝群体可依据亲缘关系分为四个组(图2A)。第一组包括蕉岭县(JL)和鄱阳湖(PYH)群体;第二组包括成都市(CD)、大理市(YN)、偶里村(EL)、洞庭湖(DTH)、霍邱县(HQ)和巢湖(CH)群体;第三组包括濮阳市(PY)、崇明岛(CM)、太湖(TH)、高邮湖(GYH)、微山湖(WSH)、海门市(HM)、洪泽湖(HZH)、白洋淀(BYD)、大孤山(DGS)和平湖市(PH)群体;第四组包括陵水县(LS)群体。PCA分析证实了系统发育分析的结果(图2B)。

图2:基于单核苷酸多态性(SNP)构建的系统发育树(图A)和主成分分析(PCA)(图B)
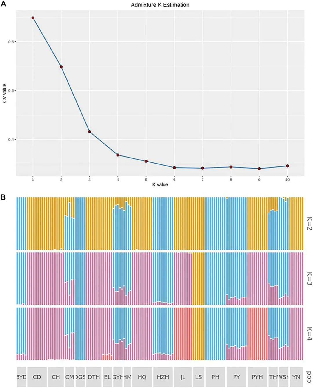
3. 群体遗传结构
使用ADMIXTURE软件(http://dalexander.github.io/admixture)计算的不同K值下的CV误差,在K=4时,群体遗传结构最接近真实情况(图3A)。LS组从一个单独的祖先进化而来,CD、DTH、HQ和YN群体似乎是由2个祖先进化而来的。JL和PYH是由3个祖先进化而来(图3B)。此外,BYD、GYH、HM、HZH、PY和WSH可能是杂合群体,存在祖先2和3的杂交。CH和EL群体具有来自祖先3和4的基因。值得注意的是,CM群体的祖先数量最多,是其中三个祖先(2、3和4)的后代(图3B)。

图3:Admixture K估计可能的K值(图A)和假设祖先数为2-4时的群体遗传结构分析(图B)
4. 遗传多样性分析
遗传多样性分析结果表明,在19个黄鳝群体中除LS和CM外,观察到的所有群体的杂合度均低于预期(表1)。CM(0.19)、GYH(0.17)和HM(0.17)的核苷酸多样性(Pi)相对较高,LS(0.01)、EL(0.04)和JL(0.05)的核苷酸多样性(Pi)较低。HZH(0.14)、TH(0.10)和WSH(0.10)的近交系数(Fis)较高,LS(0.003)、EL(0.02)和JL(0.02)较低(表1)。
表1 黄鳝19个群体的遗传多样性系数

5. 群体分化
黄鳝大多数群体的Fst值大于0.15,表明群体之间存在显著的遗传分化(表2)。LS群体与其他群体的分化程度最高,Fst值为0.64-0.89。CM与15个群体(DGS、JL和LS群体除外)之间的Fst值均低于0.25,群体分化程度较低。在DTH和CH(0.09)以及在YN和HQ(0.09)群体之间观察到最低的Fst值。值得注意的是,Fst的最高值出现在LS和EL(0.89)群体之间(表2)。
表2 19个黄鳝群体的Fst分布

结 论
本研究利用简化基因组测序技术对中国19个野生黄鳝群体进行了单核苷酸多态性(SNP)检测,并利用SNP标记研究了黄鳝的遗传多样性和群体遗传结构。研究表明,我国不同地区的黄鳝存在显著的遗传分化。位于长江下游平原的长江三角地区黄鳝遗传多样性最高。然而,山区(JL和EL)和岛屿(LS)的遗传多样性最低。西南地区黄鳝群体(CD、DTH和YN)与安徽群体关系密切,沿海地区与内陆种群有明显差异。因此,可以估计野生种群的遗传多样性较高,种质资源也较好。应进一步采取措施,保护这些良好的野生资源,并将其转化为人工育种亲本,使黄鳝野生种质资源实现可持续利用。
本研究的简化基因组测序和部分分析由上海派森诺生物科技股份有限公司完成。如需进一步讨论,欢迎发邮件或者致电我们哟(邮箱地址:microsupport@personalbio.cn,联系电话:025-56165883-832)!
文章索引:
Lv W, Yuan Q, Huang W, et al. Asian Swamp eel Monopterus albus Population Structure and Genetic Diversity in China[J]. Frontiers Genetics, 2022, 13:898958. doi: 10.3389/fgene.2022.898958.
原文链接:
https://www.frontiersin.org/articles/10.3389/fgene.2022.898958/full

