2025-09-08

中文题目:西部红柏基因组选择:从概念验证到实际应用
发表期刊:New Phytologist
发表时间:2024年8月
材料选择:西部红柏(Thuja plicata),北美太平洋西北地区特有的柏科植物
群体选择:训练群体(1520个样本)、测试群体(2897个样本)
分析内容:模型预测准确性评估、模型稳定性评估、育种周期缩短评估
研究摘要
自然环境中,森林资源面临着诸多威胁。传统育种方法可能过于缓慢,无法培育出适应性强的树木,但基因组选择(GS)可以加速这一过程。研究人员描述了一项关于西部红柏从概念验证到实际应用的全面基因组选择研究。利用基因组数据,研究人员在树木训练群体(TrP)上开发了模型,用于预测目标幼苗群体(TaP)的生长、心材化学和叶片化学性状的育种值(BVs)。同时使用交叉验证来评估TrP中的预测准确性(PACC);同时也在TaP中验证了早期表达叶片性状的模型。
研究背景
森林作为地球陆地生态系统的重要组成部分,承担着关键的生态功能,特别是在应对气候变化方面发挥着不可替代的作用。针叶林作为全球森林资源的主体之一(约占30%),广泛分布于北半球温带和寒带地区,具有极高的生态和经济价值。然而,全球森林正面临衰退威胁,这使得通过科学手段提升森林质量和恢复能力成为当务之急。传统针叶树育种面临三大核心挑战:时间成本高昂;性状表达滞后;遗传评估复杂。基因组选择(GS)技术通过以下创新机制克服传统育种瓶颈:不依赖特定功能标记,全面捕捉遗传变异;早期精准预测;育种周期缩短:理论上可减少80%以上的育种时间。
模型选择和数据处理
研究人员采用了之前确定的最佳系谱模型(ABLUP,基于重建的全同胞系谱估计的Amat)和基因组模型(GBLUP,基于SNPs估计的Gmat)进行所有分析。研究涵盖三个世代:G0(创始世代,包含113个亲本);G1/第一育种周期(TrP:从第一育种周期/第一代多系杂交子代试验中取样的1520棵树);G2/第二育种周期(TaP:从多系杂交子代试验中反向选择的亲本通过全同胞设计交配产生的2978株幼苗,属于第二代育种周期/第一代全同胞子代试验)。经过数据过滤后,保留了113个亲本、TrP中的1506个个体、TaP中的2966株幼苗和45,378个高质量SNPs用于后续的GS分析。
预测准确性分析
研究人员使用三种验证方案对预测模型进行了全面验证,评估指标为预测能力(PA)和一种预测准确性(PACC)估计值,同时聚焦三种代表性的性状:树高(代表生长性状)、叶片总单萜(代表叶片抗性)和心材总提取物(代表心材耐久性)。随机抽样(验证方法1)表明ABLUP模型的PACC比GBLUP低0.04-0.09,同时PA则在叶片总单萜中最高,心材总提取物次之,树高最低。完全去除亲缘关系(验证方法2)表明,使用基因组关系矩阵(Gmat)鉴定的无关个体数量少于系谱矩阵(Amat)(例如随机个体n=1359(Gmat) vs 1386(Amat)),导致PACC轻微降低。但两种亲缘关系去除方法在各性状间呈现相同模式。GBLUP模型使用Amat去除亲缘关系后,PACC降低幅度从树高的39%到α-侧柏酮的68%不等,但生长性状和心材总木脂素的PACC仍保持较高水平。跨世代验证(验证方法3)发现自上而下预测(亲本→子代)准确性低于自下而上(子代→亲本),将亲本加入训练群体可显著减少所需群体规模。

图 在训练群体中验证GS的有效性
目标群体(TaP)中早期表达叶片抗性性状的基因组选择验证
研究人员通过在训练群体(TrP)和目标幼苗群体(TaP)中测量叶片单萜类化合物,成功验证了基因组选择(GS)在TaP中的预测效果。经过系谱校正后,估计TaP中存在16%的系谱错误率,并鉴定出96株与TrP无关的幼苗和5株自交起源的幼苗。传力估计在TrP与TaP之间以及不同模型(ABLUP和GBLUP)之间均无显著差异。α-侧柏酮的遗传力(h²=0.31-0.33)略高于叶片总单萜(h²=0.28-0.32)。GBLUP模型对所有遗传参数估计都产生了更小的标准误,并且在群体间获得了更高且显著的brB值,说明GBLUP模型的预测优势优于ABLUP。同时发现,验证严格度与PACC呈负相关,亲缘关系越近,验证的准确度越高。

图 目标群体(TaP)中对叶片α-侧柏酮进行的独立验证
生长与木材性状预测
利用经过验证的GBLUP与ABLUP模型,对TaP(测试群体,Test Population)的树高和木材总提取物进行了预测。将GBLUP预测结果(包括单株幼苗及其家系平均的基因组育种值)与ABLUP预测结果比较后发现:GBLUP能够计入孟德尔抽样误差,从而捕捉到巨大的家系内变异。家系平均GBLUP预测值与ABLUP预测值的相关性(树高r = 0.90,木材总提取物r = 0.95)高于单株GBLUP预测值与ABLUP的相关性(树高r = 0.85,木材总提取物r = 0.86)。此外,GBLUP与所有测试的贝叶斯模型在两个性状上的相关性都非常高。

图 测试群体在两种不同模型中的育种值比较
多性状早期选择
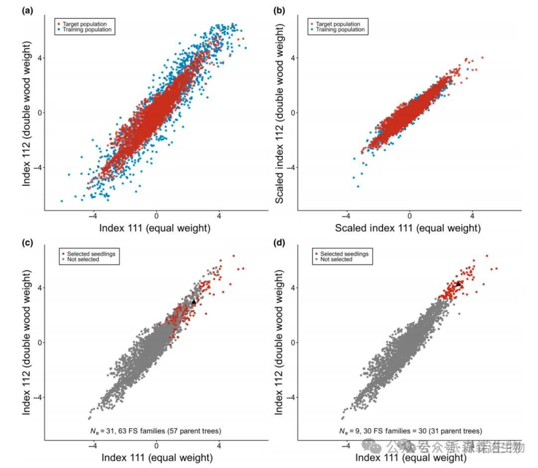
研究人员按照指数111:三性状等权重(生长/叶化学/心材=1:1:1);指数112:心材权重加倍(1:1:2)构建分析指数,相关性分析表明两个选择指数高度相关(r=0.95)。由于预测性质,目标群体(TaP)的GBLUP预测育种值与训练群体(TrP)的GBLUP测量育种值具有一定差异,因此通过群体特异性标准化校正后进行后续分析。研究表明,合并最优选择的两组结果(选择指数111选100株,指数112选80株)共获得119株幼苗。最优选择组的遗传多样性指标是顶端选择组(指数112)的3.4倍。最优选择组的预期遗传增益在树高、叶片总单萜和心材总提取物上分别是顶端选择组的0.5、1.4和0.5倍。

图 选择指数比较分析
总 结
基于GS选择育种模型,研究人员探究了生长、环境、年龄、亲缘关系和世代对预测能力(PA)和预测准确性(PACC)的影响,并利用TaP中的早期表达叶片性状独立验证了基于TrP训练的模型,验证了将这些模型用于预测TaP中晚期表达的生长和木材性状的可行性。最后,研究人员在TaP中采用最优多性状选择策略,选出119株幼苗用于建立商业化种子培养园,这比传统育种方法提前了数十年。这一实际应用可将育种周期从25年缩短至约2–4年,时间减少12.5倍,预计可将遗传增益比传统育种提高7到10倍。

图 GS育种应用流程
