2017-07-07

派森诺生物与上海交通大学农业与生物学院孟和教授团队合作,在《Frontiers in Microbiology》(最新影响因子:4.076)发表最新研究成果,揭示肠道菌群与宿主体液免疫的互作关系和共进化特征。
1 研究背景
宿主体液免疫即以B细胞产生抗体,用以保护宿主的为目的的免疫机制;而肠道菌群与宿主长期相互适应并共进化,形成了复杂而又紧密的相互作用,共同构成一个密不可分的整体。目前已有报道肠道菌群参与宿主免疫调节机制,但体液免疫和肠道微生物的抗体反应如何相互调节尚不得而知。本研究用绵羊红细胞作为抗原处理模型生物鸡,经过40代免疫差异选择,探寻宿主体液免疫与肠道菌群间的互作关系。
2 研究方法
测序技术:Illumina MiSeq高通量测序平台
测序模式:微生物组16S rRNA基因V4区测序
样本来源:白来航鸡肠道
实验设计:严格选育高抗反应组(HAS),严格选育低抗反应组(LAS);非严格选育高抗反应组(HAR),非严格选育低抗反应组(LAR)
3 研究结果
114个样品经Illmina MiSeq平台测序,共产出8927926条序列,平均每个样品78315条;序列平均长度227bp;在这些样本中,总共发现了19个门、41个纲、66个目、117个科和223个属微生物。
3.1 长期宿主抗体差异选择对肠道菌群结构的影响

经长期宿主抗体差异选择,高抗组与低抗组在肠道菌群组成中表现出明显的差异;其中图A为经传代培养的严格与非严格选育的高抗组与抵抗组样品变化趋势;图B中通过CAP主坐标典型相关分析可以看出4个处理组中肠道菌群组成存在显著差异;图C中分别显示的是高抗组与抵抗组中主要存在的优势菌群。
3.2 与宿主抗体反应的相关微生物


LEfSe分析分别显示严格与非严格选育高抗组与抵抗组间差异显著的菌群,其中门水平有2个物种在HAS与LAS组中显著差异,有4个物种在HAR与LAR组中存在显著差异;属水平中21个物种在HAS与LAS组中存在显著差异,35个物种在HAR与LAR组中存在显著差异。

基于属水平物种丰度,Anaerobiospirillum、Coprococcus、Oscillospira、Sutterella在HAR组中显著增加;Lactobacillus与Pseudomonas在LAR组显著增加;同时Pseudomonas与Erwinia在HAS组中显著降低;Sporosarcina与Coprococcus在LAS组中显著降低;基于PICRUSt软件进行肠道菌群代谢功能预测,发现在内分泌系统功能、排泄系统功能等在高抗体组中丰度显著高于抵抗组;免疫系统疾病、传染性疾病在抵抗体组中显著富集。
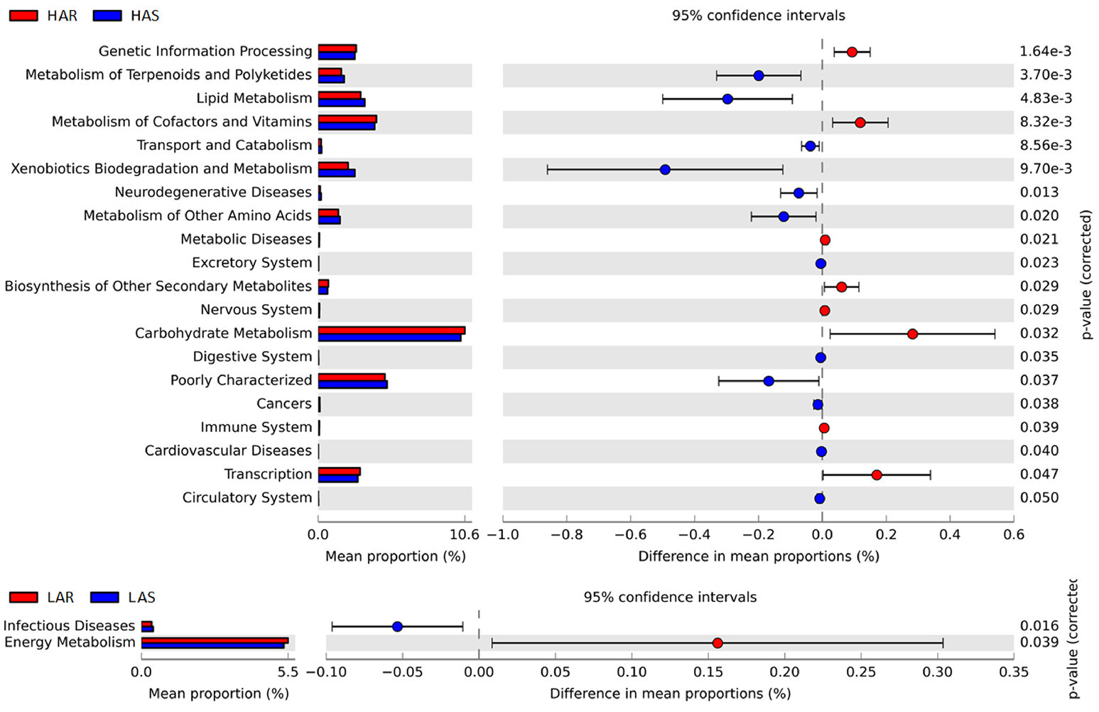
3.3 严格与非严格选育肠道菌群动态变化


LEfSe分析分别显示其高抗组与抵抗组中的严格选育及非严格选育间的显著差异菌群,其中门水平中有8个物种在HAS与HAR组中显著差异,但仅有一个物种在LAS与LAR组中存在显著差异;属水平中39个物种在HAS与HAR组中存在显著差异,27个物种在LAS与LAR组中存在显著差异。

基于PICRUSt软件进行肠道菌群代谢功能预测,并通过STAMP软件计算组间功能通路丰度差异;其中在非严格选育组中能量代谢、代谢类型疾病等功能通路显著富集;脂代谢、传染性疾病等功能通路在严格选育中显著富集。
4 研究结论
研究人员用鸡作为模型生物,研究宿主免疫与肠道微生物两者的互作关系和共进化特征。研究表明,肠道菌群与宿主免疫进化间存在共同促进的作用;菌群代谢功能预测分析结果同样表明,两组在免疫系统及传染性疾病途径中均存在显著改变。基于上述发现,本研究首次提出了肠道菌群和宿主体液免疫的共同微进化(Co-microevolution)的概念。
本研究的测序和数据分析工作由上海派森诺生物科技股份有限公司完成。
参考文献
Yang L, Liu S, Meng H, et al. Gut microbiota co-microevolution with selection for host humoral immunity[J]. Frontiers in Microbiology, 2017.
