2018-07-19

正文
最近,派森诺生物与上海交通大学合作,在《Environmental Pollution》(影响因子:4.358)发表论文,研究了水生植物凋落物在分解过程中对人工湿地系统生态环境及微生物群落的影响。
研究背景
人工湿地(CWs)是一种综合性的生态系统,能够有效地去除由于物理、化学过程,尤其是生物效应而引起的水污染。然而,由于反硝化过程中碳源的需求,CWs系统在低C/N的废水(如城市污水处理厂的废水、非点源污染废水)处理时不能达到预期的效果。作为CWs系统的重要部分,水生植物在生长过程中可以有效吸收和过滤流动废水中的氮、磷、重金属、有机物和其他污染物。因此,CWs系统中水生植物的培养是减少污染和修复生态的重要途径。水生植物在水生生态系统中的营养物质和其他化学成分的自然循环中起着重要作用。因此,研究CWs系统中水生植物凋落物的分解过程至关重要。
研究目的
本研究的主要目的是找出选定的水生植物(水葫芦、黑藻和香蒲)凋落物的分解规律,分解过程对水质的影响以及植物凋落物的潜在应用。
1、分解过程中植物凋落物用量对水质的影响;
2、有和无沉积物在分解过程之间的差异,以确定沉积物的影响;
3、对三种水生植物的分解过程进行比较,以确定选择的凋落物分解对水的影响,并选择合适的植物凋落物作为CWs系统反硝化过程的潜在碳源。
研究方法
测序技术:Illumina MiSeq高通量测序平台
测序模式:微生物组细菌16S rRNA基因V4-V5区测序
实验设计:不同重量的植物凋落物(0.1/0.5/1.0 g/L)分别放在尼龙袋里,放入加了2L超纯水的烧杯中。分别于0,2,4,6,8,10,17,24,31,46和61天,10:00 am取样。空白水对照、0.1g/L植物凋落物、0.5g/L植物凋落物、1g/L植物凋落物、0.5g/L植物凋落物加2cm高沉积物、2cm高沉积物对照。
图1 实验设计
研究结果
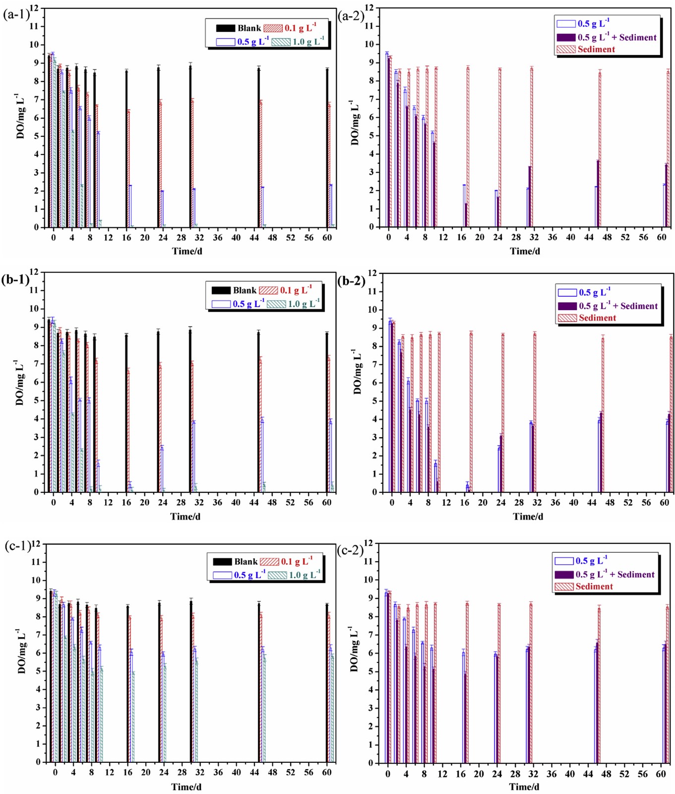
1、PH和DO的影响
三种植物的pH值随添加量不同而不同,其pH值的变化趋势是相似的。对于每一种植物凋落物,当向水中添加更高剂量的植物凋落物时,都会产生更大的影响。分解过程对pH值(受体水pH值变化幅度)的影响顺序为水葫芦>黑藻>香蒲,特别是在开始时。添加沉积物的影响较小。结果表明,添加沉积物可以降低植物分解的影响。
在不添加沉积物的情况下,三种植物凋落物的DO变化趋势相同。对于每一种植物凋落物,随着植物凋落物量的增加,影响变大。当添加沉积物时,水中的DO下降得更快,可能是由于沉积物中微生物加速分解所致。总的来说,在整个分解过程中,对DO的影响(受体水DO的变化程度)遵循黑藻>水葫芦>香蒲的顺序。沉积物的增加会增加凋落物分解对水DO的影响。
图2 分解进程对PH的影响
图3 分解进程对DO的影响
2、有机碳的影响
在不添加污泥的情况下,三种植物凋落物的TOC变化趋势相似。当添加沉积物进入分解过程时,水中的TOC明显高于没有沉积物的TOC。同时存在植物凋落物和沉积物时的TOC比单独添加植物凋落物和沉积物时的总量还低。分解对TOC的影响,可总结为水葫芦>黑藻>香蒲。添加沉积物可以增大植物凋落物分解对水体TOC的影响。
3、氮释放的影响
氮浓度是生态系统的一个重要参数,它可以影响水生生物(即水生植物、微生物、鱼类等)以及天然水中的整体生态平衡。在整个分解过程中,对受体水TN的影响顺序是:水葫芦>黑藻>>香蒲。添加沉积物可以降低凋落物分解对水体TN的影响。凋落物分解过程中主要释放的氮为水葫芦的NH3-N和有机氮,黑藻的NH3-N和有机氮,香蒲的有机氮和NO3-N,说明有机氮是所有植物凋落物的一种释放氮。
4、磷释放的影响
三种植物凋落物中TP的变化趋势相似。一开始急剧增加,之后逐渐减少,最后达到一个稳定值。对于三种植物凋落物,添加高剂量的凋落物时影响更大。添加沉积物可以明显降低对TP的影响。对TP的影响排序为水葫芦>黑藻>香蒲。
图4 分解过程对TN的影响
图5 分解过程对TP的影响
5、微生物组分析
为了研究不同植物凋落物分解后的微生物,在添加和不添加沉积物的情况下,根据之前的研究进行微生物群落分析。用PCA来评估不同烧杯中微生物群落的相似性。PCA分析结果表明,水葫芦分解后的微生物群落与黑藻相似,与香蒲的微生物群落差异较大。然而,对于水葫芦和黑藻,有沉积物在分解过程中的微生物群落与没有沉积物的微生物群落非常不同,表明沉积物是造成它们群落变化的原因。然而,当添加沉积物时,香蒲分解后的微生物群落没有大的变化,这可能是由于香蒲在水中的组成缓慢。

表1 植物凋落物分解过程中的优势菌
图6 PCA分析
总结
该研究对三种不同剂量和沉积物条件的植物凋落物分解过程进行了研究,以确定pH,DO,TOC,TN,NH3-N,NO3- -N,NO2--N和TP对水环境的影响。首先,对于大多数水指标(NO3- -N和NO2- -N除外),分解的影响遵循水葫芦>黑藻>香蒲的顺序。一般来说,植物凋落物的剂量越大,影响越大。添加污泥可以增强或减少这种影响。其次,水葫芦和黑藻氮释放的主要形式是NH3--N和有机氮,而香蒲主要是有机氮和NO3--N。第三,水葫芦、黑藻和香蒲凋落物分解之后,水中平均C/N分别达到2.6、5.3和20.3,香蒲凋落物比水葫芦和黑藻分解的慢。因此,香蒲凋落物的分解可能更有利于生态系统中含氮量高的废水的处理。
文章索引:
Suqing Wu, Shengbing He, Weili Zhou, Jianya Gu, Jungchen Huang, Lei Gao,Xu Zhang(2018).Decomposition characteristics of three different kinds of aquatic macrophytes and their potential application as carbon resource in constructed wetland.Environmental Pollution231(2017) 1122–1133.

