
2018-12-20

文案 | 微生物组事业部
派森诺生物与广东省微生物研究所合作,在《Frontiers in Immunology》(影响因子5.511)上发表文章,研究灵芝破壁孢子提取物的抗肿瘤活性,发现可以通过重塑肠道菌群修复消耗殆尽的细胞毒性T细胞。
研究背景
乳腺癌是常见的癌症之一,也是全球女性癌症相关死亡的主要原因,人们一直在努力寻找疗效更好但副作用更少的替代方案。目前,手术切除、辅助化疗、放疗和激素治疗是早期乳腺癌的主要治疗选择,但由于出现耐药性和毒副作用,仍不能令人满意。更令人不安的是,三阴性乳腺癌对激素疗法没有反应。最近利用免疫检查点阻断的癌症免疫治疗的成功,已经改革了各种侵袭性肿瘤疾病的治疗。
灵芝是一种药用真菌,几千年来一直被用于传统中药,可以用于治疗过敏,心血管疾病,糖尿病,等。越来越多的研究结果表明灵芝孢子(SG)可能是一种可用于癌症治疗的抗癌药物。近年来,基于孢子破壁技术,从灵芝孢子中分离出来的活性成分,因其多种多样的生物活性,引起了人们的广泛关注。
本研究在乳腺癌异种移植小鼠模型中探索灵芝破壁孢子提取物(ESG)的抗癌潜能,主要关注T细胞修复与肠道微生物群的相互作用,了解破壁孢子的抗癌活性。
研究方法
测序技术:Illumina MiSeq平台
测序模式:16S rRNA基因V3-V4区
实验设计
研究结果
1
ESG抑制肿瘤生长
从图1A可以看出,不管ESG处理24h还是48h,4T1细胞的体外存活率均不受影响,提示ESG的抗肿瘤活性不是由细胞毒性直接介导的。在21天的实验期间,Model组的肿瘤体积持续增加(图1B和C)。相比较之下,PTX和ESG组中肿瘤体积在15天后显著减少。HE染色组织学分析显示,Model组肿瘤细胞分布均匀,而PTX组和ESG组表现出明显的坏死症状。

图1:ESG对4T1异种移植模型小鼠的影响
2
ESG恢复外周血和肿瘤微环境中的Tc细胞
流式细胞仪(FCM)分析结果表明在外周血中(图2),Model组中T细胞(CD3+)百分比明显低于Normal组,辅助T细胞(Th)和细胞毒性T细胞(Tc)比例也明显下降。相对于Model组,PTX导致Th和Tc严重损失。另外ESG显著提高了循环系统中Tc细胞的百分比,也明显提高了Tc/Th的比值。
为更详细地观察TME免疫监测系统,采用流式细胞仪(FCM)测定TIL。结果表明,虽然T细胞的比例有所下降,但仍有一定的抑制作用。ESG组TME中Tc细胞比例明显升高(p < 0.05),ME中Tc细胞比例升高Tc/T比值(p < 0.01),这和外周血的结果一致(图3)。然而,ESG在体外直接作用于脾细胞时,对Tc细胞的这种促进作用并不存在。

图2:ESG对外周血T细胞的影响

图3:ESG对肿瘤浸润性淋巴细胞的影响
3
ESG抑制免疫检查点
为进一步评价ESG对T细胞状态的增强作用,研究了两种免疫检查点的表达情况,PD-1和CTLA-4。图4显示在脾脏中,4T1-细胞异种移植显著上调了pd1基因的表达,同时降低了PD-1蛋白含量。相比较之下,PTX和ESG明显下调了pd1基因的表达,但是对PD-1蛋白没有影响。在肿瘤组织中,PTX显著增加了PD-1蛋白的表达,同时mRNA水平几乎和Model组一致。ESG对PD-1表现出明显的抑制作用,特别是ESGH组对mRNA和蛋白质有着强烈的抑制作用。
对CTLA-4分析(图5)发现,肿瘤异种移植明显上调了脾脏中mRNA和蛋白质的表达,同时PTX和ESG显著减少了他们的表达。在肿瘤(图6)中,PTX减少了mRNA水平的含量,但是增加了蛋白质的表达。比较发现,不同剂量的ESG都显著下调了ctla4,但是对CTLA-4没有明显的影响。

图4:ESG对脾脏和肿瘤中PD-1的影响

图5:ESG对脾脏中CTLA-4的影响

图6:G对脾脏中CTLA-4的影响
4
ESG调控肠道菌群
ESG治疗后肠道菌群的整体结构调整
挑选Normal组,Model组和ESGH组进行高通量测序,发现共有OTU 1,480个,分别特有889个,723个和541个OTU(图7A)。Alpha多样性分析结果表明,相对于Normal组,ESGH组中随着Chao1和ACE指数的降低,丰富度明显减少(图7B)。稀疏曲线结果(图7C-D)中的丰富度(Chao1)表现出了显著差异,但是多样性(Shannon)并没有在三组间发现差异。
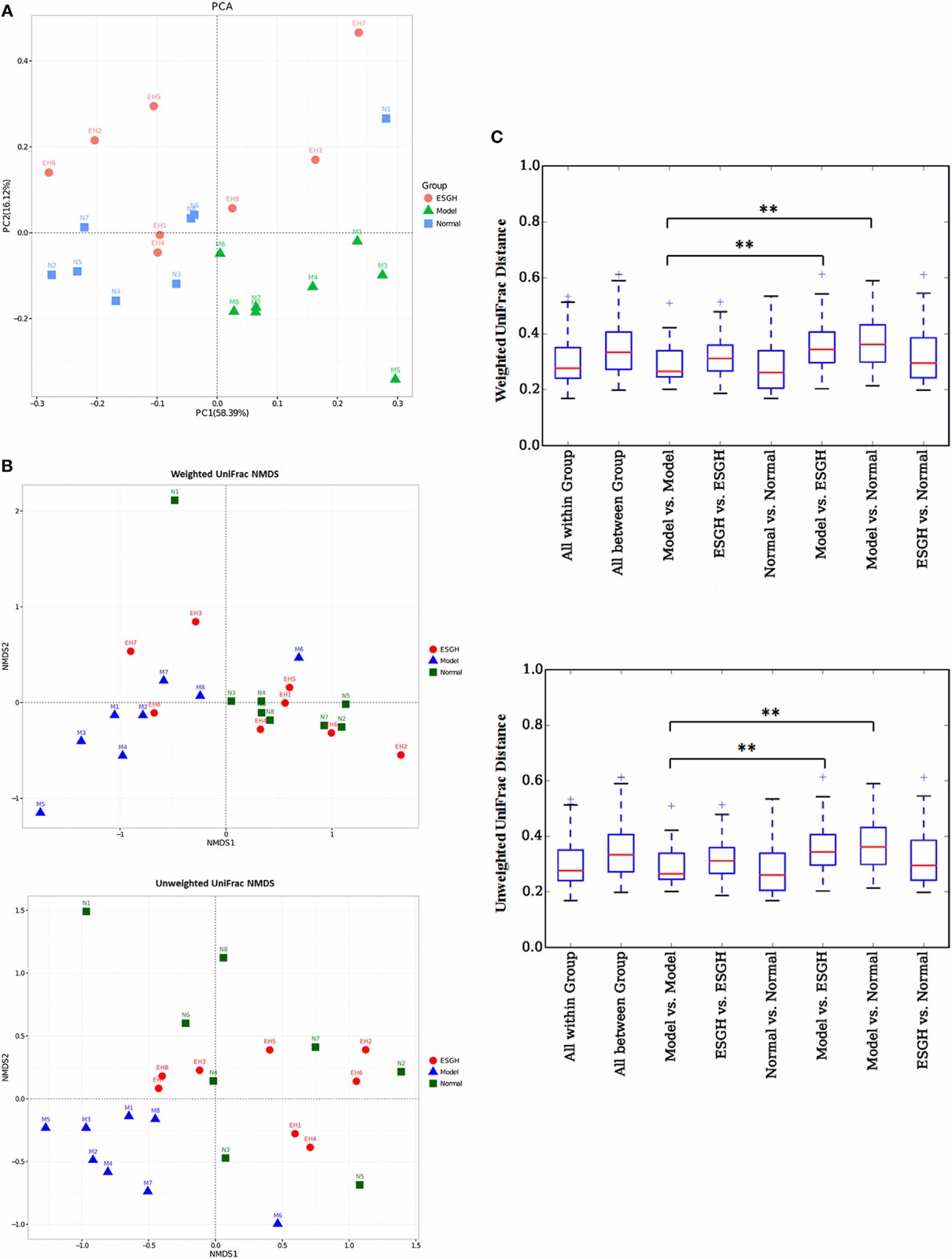
PCA和NMDS(图8A和B)结果说明Model组和Normal组样本有显著的构成变化,3周的治疗之后,ESGH组的构成和Normal组相似,说明ESGH组有修复菌群的效果。Unifrac距离分析(图8C)证明ESG可以重塑菌群结构。

图7:粪便菌群Alpha多样性分析

图8:粪便菌群Beta多样性分析
ESG治疗后肠道菌群的物种变化
物种组成分析结果显示Normal,Model和ESGH组样本中,门和属水平上物种有显著差异。
所有组共有9个门(图9A),其中Firmicutes 和Bacteroidetes 占比超过了90%,Actinobacteria,Bacteroidetes,Cyanobacteria,Firmicutes 和Proteobacteria 在三组样本间有显著差异。特别是ESGH治疗后显著提高了Firmicutes 和Proteobacteria 的相对丰度,但是降低了Actinobacteria,Bacteroidetes 和Cyanobacteria的相对丰度,说明肿瘤异种移植明显逆转了的菌群的变化(图9B)。
在属水平,共鉴定到61个物种,从热图的聚类分析结果中可以看到Model组表现出明显的菌群变化(图10A)。在Normal组和ESGH组中发现Helicobacter,Rikenella 和Turicibacter 的相对丰度要明显高于Model组,据报道这三个属与增强免疫反应呈正相关;还有其他15个属在Model组中的相对丰度要高于Normal组和ESGH组(图10B)。

图9:门水平物种组成分析

图10:属水平物种组成分析
ESG治疗调控肠道菌群功能
PICRUSt菌群代谢功能预测分析结果(图11)发现肿瘤异种移植显著上调了一些基因的丰度,这些基因调控5个代谢通路,包括其他次生代谢产物的生物合成,能量代谢,酶家族基因,多糖生物合成和代谢,辅助因子和维生素的代谢,运输和分解代谢,但是下调基因涉及细胞运动性和信号传导通路。
ESGH治疗后,这些基因的变化却明显是相反的,例如运输和分解代谢,酶家族基因,多糖生物合成和代谢,其他次生代谢产物的生物合成。说明结合结构调控,ESG可调节肠道菌群的代谢活动,促进对肿瘤免疫的监测作用。

图11:KEGG数据库菌群功能预测
总 结
研究结果表明ESG能够在体内而非体外抑制4T1肿瘤生长,且ESG能显著增加荷瘤小鼠外周血中Tc的数量和Tc与Th的比例,可以通过抑制共抑制检查点有效修复T细胞。
16S rRNA基因测序结果说明ESG可以将荷瘤小鼠的整体结构按照正常小鼠进行重塑,证明ESG可以作为一种天然的抗癌佐药,这对乳腺癌治疗有重要的临床意义。
本研究的测序和数据分析工作由上海派森诺生物科技股份有限公司完成。
参考文献
Jiyan S , Lu S , Dan L , et al. Antitumor Activity of Extract From the Sporoderm-Breaking Spore of Ganoderma lucidum: Restoration on Exhausted Cytotoxic T Cell With Gut Microbiota Remodeling[J]. Frontiers in Immunology, 2018, 9:1765-.
原文链接:https://www.frontiersin.org/articles/10.3389/fimmu.2018.01765/full