
2019-11-05

文章题目:Homeotic transformation from stamen to petal in Eriobotrya japonica is associated with hormone signal transduction and reduction of the transcriptional activity of EjAG
发表期刊:Physiologia Plantarum
技术手段:RNA-Seq
派森诺生物与西南大学携手合作,于2019年10月在《Physiologia Plantarum》上发表了重瓣花枇杷雄蕊向花瓣同源转化的研究成果,影响因子3。
枇杷是一种亚热带常绿乔木,重瓣花枇杷是近几年才发现的由雄蕊向花瓣同源转化的自然变种。解析枇杷重瓣花的同源转化机制有利于更好地理解蔷薇科植物花瓣的来源和多样性。然而,目前枇杷属关于这种同源转化的分子机制信息却很少。本研究利用转录组测序手段,筛选出与该同源转化相关的候选基因,结合对内源激素的研究,共同为揭示同源转化的作用机制提供了新观点。本研究证实可以编码C类花同源异型蛋白的EjAG基因被显著下调。同时,差异表达基因的富集分析也揭示了在不同转化阶段的差异基因主要参与植物激素信号转导的代谢途径。
Step1. 分别取三个时期的重瓣花枇杷的花器官(外雄蕊OS,花瓣状雄蕊PO,花瓣PS);
Step2. 总RNA提取与测序;
Step3. 差异表达基因(DEGs)分析,筛选关键基因;
Step4. EjAG基因的分离与功能分析;
Step5. qRT-PCR验证RNA-seq分析结果;
Step6. 三个时期花器官中的吲哚乙酸、激动素、赤霉素和脱落酸浓度的测定。
1. 雄蕊向花瓣同源转化的形态学分析
如图1所示,重瓣花枇杷外部的雄蕊转化成花瓣(图1. B. 红箭头),在同源转化过程中主要有三个阶段:外部的雄蕊OS(图1. C),雄蕊向花瓣转化PS(图1. D),转化后的花瓣PO(图1. E)。

图1 枇杷单瓣花和重瓣花的形态(A.单瓣花,B.重瓣花,红色箭头表示由雄蕊转化的花瓣,C.外雄蕊,D.雄蕊向花瓣转化,E.转化后的花瓣)
2.转录组测序结果,注释以及DEGs分析
本研究采用每个样品6G数据量的测序策略,共获得135934个unigene。这些unigene在NR、eggNOG、Swiss-Prot等数据库进行注释(图2)。为了评估在不同转化阶段的基因表达量变化,对三个时期的转录表达情况进行两两比较。在PS vs OS比较组中检测到7944个上调基因,9441个下调基因。PO vs PS比较组中有136个上调基因和703个下调基因。PO vs OS比较组中发现8364个上调基因和9870个下调基因。

图2 unigene和DEGs分析:A.样品相关性分析,B.同源物种分布,C.上调的差异表达基因韦恩图, D.下调的差异表达基因韦恩图
3.影响同源异型转化的关键转录因子基因的鉴定
转录因子(TFs)在植物的生物过程中起着非常重要的作用,特别是在花器官发育过程中。关键的转录因子基因家族比如 MADS-box , TCP, MYB的表达量如图三所示。

图3 在花器官转录过程中关键转录因子基因的分析(A. MADS-box, B. TCP TFs, C. MYB TFs)
4.EjAG的分离、表达谱及功能分析
来自MADS-box转录因子家族的EjAG是一个C类花同源转化基因,属于rosids euAG家系(图4)。EjAG的亚细胞定位发现EjAG在细胞核内表达,同时,RT-PCR定量分析发现在PO阶段EjAG表达量显著下降(图5)。在模式植物拟南芥上进行EjAG的功能分析(图6),进一步验证了EjAG的表达可以挽救花的缺陷。

图4 C类MADS-box蛋白的系统发育树

图5 EjAG亚细胞定位和RT-PCR定量分析,GFP荧光,BF(bright field), Merged(GFP和BF合并)。

图6. A. 同源ag-1突变体花瓣,B. 同源ag-1突变体花瓣萼片,C. 拟南芥野生型花,D. E. EjAG转基因小花瓣,F. G. 同源ag-1突变体表达EjAG基因花瓣雄蕊变小,H. 同源ag-1突变体表达EjAG基因展示正常的花瓣,4个雄蕊,I. 同源ag-1突变体表达EjAG基因展示正常的花瓣,6个雄蕊
5. 激素信号转导途径中DEGs和关键unigene的富集分析
三组差异表达基因的KEGG富集分析都显示了在植物激素信号转导通路上有显著的富集结果(图7)。其中关于生长素、细胞分裂素、赤霉素、脱落酸和乙烯信号通路相关的DEGs的表达水平如图8所示。

图7. DEGs的KEGG通路富集分析(A. PS vs OS, B. PO vs PS, C. PO vs OS)

图 8. 与生长素、细胞分裂素、赤霉素、脱落酸和乙烯信号通路相关的DEGs的表达水平
6.几种关键同源异型转化相关基因表达分析的验证
7个与花器官相关的unigene被随机挑选用来做qRT-PCR来验证两种技术下花瓣转化相关基因的表达水平一致。

图 9. qRT-PCR验证花瓣转化相关基因的表达
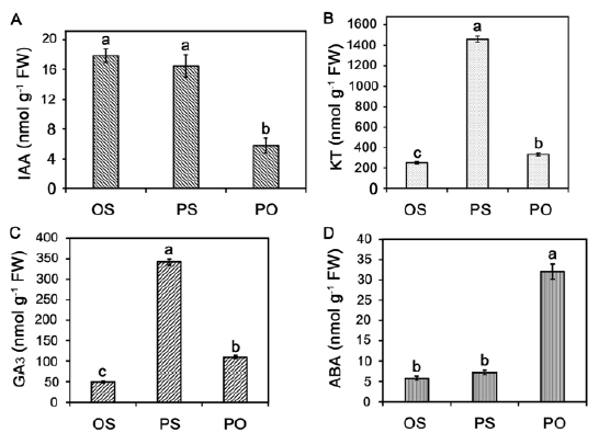
7.内源激素测定
用高效液相色谱法HPLC检测在不同同源转化阶段的内源激素的含量变化如图10 所示。

图10. 生长素(IAA)、激动素(KT)、赤霉素(GA)、脱落酸(ABA)在花器官转化过程中的浓度变化
综上所述,该研究揭示了重瓣花枇杷雄蕊向花瓣同源转化三个阶段的关键转录因子和主要的植物激素信号转导途径,也证实了EjAG明显下调,对重瓣花形成至关重要。更重要的是,该研究为揭示其他转录因子在该同源转化的潜在作用奠定基础,也为研究枇杷等蔷薇科植物的同源异型转化机制提供了可利用的序列资源。
Jing D.-L., Chen W.-W., Xia Yan, et al. Homeotic transformation from stamen to petal in Eriobotrya japonica is associated with hormone signal transduction and reduction of the transcriptional activity of EjAG. [J] Physiologia Plantarum. 2019.
doi:10.1111/ppl.13029.
https://onlinelibrary.wiley.com/doi/pdf/10.1111/ppl.13029
本研究的测序和数据分析工作由上海派森诺生物科技股份有限公司完成。