
2020-08-04

发表期刊:International Journal of Molecular Sciences
影响因子:4.556
派森诺生物与西南大学合作,于2020年7月16日在《International Journal of Molecular Sciences》上再发新作!
该文章从转录组学、蛋白质组学和激素分析等多个层面,揭示了参与枇杷花发育的关键差异表达基因和代谢途径。
枇杷是蔷薇科重要的热带和亚热带果树树种,在中国、日本、西班牙等许多国家被广泛种植。其生殖发育是一个不受冬季休眠干扰的连续过程,几乎所有生长在枇杷树上的枝都是开花的枝,而圆锥花序的数量几乎每年保持不变。因此,研究枇杷花发育的调控机制有助于更好地了解蔷薇科植物的开花过程。本研究从花芽分化(FBD)、花芽伸长(FBE)和花开花(FA)三个方面,使用转录组和蛋白质组测序,通过对一些关键的DEGs、代谢途径和内源激素的分析,揭示了关键的开花基因和代谢途径。为进一步阐明枇杷和其他蔷薇科植物的花发育机制提供了丰富的序列资源。

1、花发育的形态学特征
为了描述花的发育,作者评估了花发育过程中的形态变化,将枇杷的形态学变化分为了九个阶段(S1-S9)。

图1 枇杷花发育形态的变化。(S1)植物顶端。(S2)花分生组织的产生和花芽的分化。(S3)花芽快速分化。(S4)圆锥花序伸长。(S5)花芽伸长,可见花芽。(S6)在圆锥花序中分枝的伸长。(S7)花蕾的白色花冠。(S8)花开花和盛开。(S9)花瓣下跌。
2、转录组测序结果,注释以及DEGs分析
为了评估在不同发育阶段的基因表达量变化,对三个时期的转录表达情况进行两两比较(图2)。在FBE vs FBD比较组中检测到7409个上调基因,1805个下调基因。FA vs FBE比较组中有4406个上调基因和6662个下调基因。FA vs FBD比较组中发现8055个上调基因和5766个下调基因。其中,在FBE vs FBD和FA vs FBE比较组中取交集共有730个上调DEGs和866个下调DEGs (图2B,C)。

图2 FBD、FBE和FA的花发育阶段变化的DEGs比较。
作者在KEGG通路富集分析的基础上对这些DEGs进行了分类(图3),结果显示,FBE与FBD的DEGs主要富集于碳代谢(37)、植物激素信号转导(33)和苯丙烷生物合成(28)。FA和FBE的DEGs主要参与植物激素信号转导(54)、淀粉和蔗糖代谢(53)和苯丙类生物合成(49)。FA和FBE的DEGs主要是植物激素信号转导(72)、淀粉和蔗糖代谢(60)以及苯丙烷生物合成(48)。

图3 DEGs在KEGG数据库的富集分析。(A)FBE vs FBD(B)Fa vs FBE
3、参与激素信号转导通路的关键差异表达基因(DEGs)分析
激素信号转导的转录水平显示,DEGs参与了枇杷花发育三个阶段的生长素、赤霉素(GA)、细胞分裂素(cytokinin)、乙烯、脱落酸(ABA)、茉莉酸(茉莉酸)和水杨酸(SA)的信号通路(图4和图5)。根据表达水平的变化分别确定了其对应信号通路的关键基因。

图4在枇杷花发育的三个阶段,涉及生长素、赤霉素(GA)和细胞分裂素信号代谢途径的DEGs表达水平的变化

图5参与乙烯、脱落酸(ABA)、茉莉酸(JA)和水杨酸(SA)信号通路的DEGs表达水平的变化
4、与花期通路相关的基因及转录因子的鉴定
转录因子(TFs)在植物的生物过程中发挥着非常重要的作用,特别是在花器官发育过程中。花发育过程中涉及的花相关通路,花整合子因子,花分生组织特性和花器官发育中的基因表达变化如图6所示。

图6 (A)参与开花相关途径的DEG表达水平变化。(B)编码SPL的DEG表达水平变化。(C)涉及花整合子,花分生组织特性以及花器官特异性DEG的表达水平变化。
5、差异积累蛋白(DAPs)的蛋白质组学分析与鉴定
共有32,655个光谱匹配到不同的肽段,最终在FBD、FBE和FA阶段共鉴定出8853个蛋白。基于GO数据库,作者将鉴定出的蛋白分为细胞成分(CC)、分子功能(MF)和生物学过程(BP)三大类(图7)。

图7 鉴定蛋白GO富集分析
6、蛋白水平与转录水平之间的关键交叉基因
在FBE vs FBD,FA vs FBE和FA vs FBD比较组中,蛋白质组和转录组之间的相关系数R值分别为0.3759、0.3364和0.4138,但DAP和DEG之间的相关系数R值分别为0.8514、0.7742和0.8178(图8)。

图8 蛋白质组和转录组的相关性
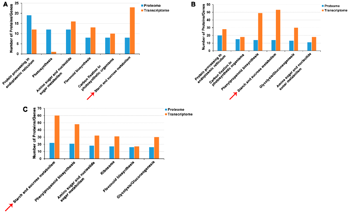
在FBE vs FBD,FA vs FBE和FA vs FBD比较组中,蛋白质组和转录组联合富集分析如下图所示。红色箭头标记淀粉和蔗糖的代谢途径。

图9 蛋白质组和转录组联合富集分析(A)FBE vs FBD(B)FA vs FBE(C)FA vs FBD
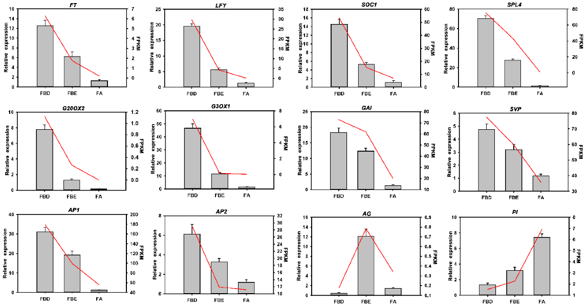
7、关键基因qRT-PCR验证
为了验证RNA-Seq数据的可靠性,作者从DEGs中随机抽取共12个花发育相关的unigenes,使用qRT-PCR进行验证。这些DEGs与开花相关基因和植物激素信号转导的信号传导途径相关。结果显示,qRT-PCR与RNA-Seq变化趋势相同(图10)。

图10 花发育相关基因表达的qRT-PCR验证
8、内源性GA3, ZT和ABA浓度的测量
作者在FBD,FBE和FA阶段进一步检测了GA3,ZT和ABA的浓度(图11)。结果表明,内源激素浓度变化与激素信号转导途径相关基因的表达水平之间存在高度相关性。

图11 花发育过程中GA3,ZT和ABA浓度的变化。
文章小结
综上所述,作者的研究结果提供了一些DEGs,这些DEGs主要与开花基因相关并参与植物开花过程中植物激素信号转导以及淀粉和蔗糖代谢的途径。并从转录组学、蛋白质组学和激素分析等多个层面联合分析证实了结果的可靠性。这些确定的关键基因,激素信号转导以及淀粉和蔗糖代谢途径增强了我们对枇杷和其他蔷薇科植物花卉发育复杂调控网络的了解。
原文索引:
Danlong Jing , Weiwei Chen, Ruoqian Hu et al., An Integrative Analysis of Transcriptome, Proteome and Hormones Reveals Key Di erentially Expressed Genes and Metabolic Pathways Involved in Flower Development in Loquat. [J] International Journal of Molecular Sciences. Int. J. Mol. Sci. 2020, 21(14), 5107; https://doi.org/10.3390/ijms21145107
本研究的转录组部分的测序和数据分析工作由上海派森诺生物科技股份有限公司完成。
文章链接:
https://www.mdpi.com/1422-0067/21/14/5107