
2021-06-29

期刊:Ultrasonics Sonochemistry
影响因子:6.5130
派森诺生物与邵阳学院携手合作,于近期在期刊《Ultrasonics Sonochemistry》上发表题为《Combination of ozone and ultrasonic-assisted aerosolization sanitizer as a sanitizing process to disinfect fresh-cut lettuce》的文章。
技术手段:酚酸靶向检测
研究背景
美国FDA建议每天食用3-5种不同的蔬菜和2-4种不同的水果。微加工产品具有方便、多样的特点,迎合了人们日益快节奏的生活方式。然而,由于鲜切蔬菜通常未经热处理就生吃,导致微生物污染的风险增加。微生物污染会引起食物变质,保质期缩短,并引发食源性疾病。引起食源性疾病的病原体大多为大肠杆菌和沙门氏菌,在美国分别占30.87%和47.65%,在欧洲分别占8.33%和47.62%。在发展中国家,食源性病原体的污染也很严重。因此,研究低成本且不影响生鲜产品质量的消毒方法是非常重要的。
近年来,微生物相互作用、脉冲光、低温等离子体作为新兴的消毒技术得到广泛研究。虽然这些办法在工业化领域有许多优点,但由于设备成本高不能被大规模应用。然而化学消毒剂因为成本低、消毒效果好、可与水按不同比例混合等优点具有广泛的应用前景。一些蔬菜叶片经常发生病原菌感染。因为清洗蔬菜的水是循环利用的,所以容易发生交叉污染,导致所有蔬菜感染,从而增加食源性疾病的风险。除此之外,还需要减少消毒剂用量,以更好地满足微加工行业的成本要求。因此,减少消毒剂用量,开发非浸泡式消毒方法已成为研究的重点。
超声波辅助雾化具有消毒剂用量少、可形成微米级颗粒的特点,因此可吸附在叶片表面并不断控制微生物水平。化学消毒剂根据其抗菌机理可分为有机酸类和氧化性消毒剂类。在化学消毒剂中常用的是臭氧和氯基消毒剂。例如臭氧可以降解农药残留,对农产品表面进行消毒,而且只需要较低的设备成本。但是,在一些国家使用氯消毒剂对新鲜农产品进行消毒是被禁止的。另一种类型的化学消毒剂有机酸,它不仅是食品添加剂,而且被美国FDA批准为GRAS。其中乙酸和乳酸与其他GRAS有机酸相比,具有较高的消毒效果,成本相对较低。
本研究以鲜切生菜为模型,研究了臭氧与化学消毒剂组合使用的消毒效果。

图1 消毒设备原理图
研究思路

研究结果
1. 鲜切生菜中鼠伤寒沙门氏菌的消毒剂及雾化率的筛选
贮藏7d后,2%AA处理的样品出现褐变斑点。因此,不选择2%AA进行后续筛选实验。由于沙门氏菌是引起食源性疾病较多的病原体,所以对鼠伤寒沙门氏菌进行了消毒剂筛选实验。结果表明,1%AA和4 ppm臭氧对鼠伤寒沙门氏菌无效(图2A)。市场上现有的超声波辅助雾化吸入器大多频率为1.7 MHz,因此本研究使用的超声频率为1.7 MHz。雾化率筛选实验表明,3.6 mL/min时的最大雾化率显著高于2.0 mL/min(图2B),因此后续实验中雾化速率选择3.6 mL/min。由于本研究的目的是将雾化消毒剂与GO相结合,因此在后续实验中选择8ppm的臭氧。由于之前没有研究报道1%AA和8ppm臭氧的组合是否有消毒效果,因此本实验采用1% AA和8ppm臭氧的组合。

图2不同消毒剂 (A)和雾化率(B)对鲜切生菜中的鼠伤寒沙门氏菌的影响
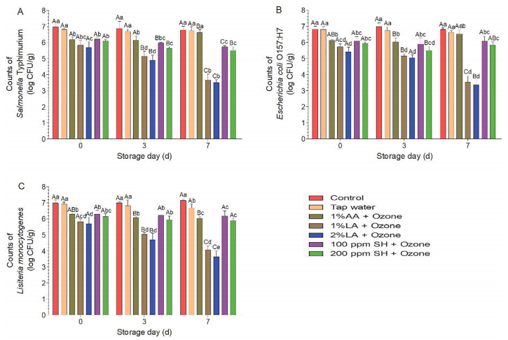
2. 不同处理组合对鲜切生菜的消毒效果
虽然1%AA+8 ppm GO造成了生菜叶子的褐变,但实验也评估了这个组合的消毒效果(图3)。用1%AA和8ppm GO处理后,鼠伤寒沙门氏菌、大肠杆菌O157:H7和李斯特菌的产出分别为6.18、 6.11、6.29 log CFU/ g,均显著低于自来水组和对照组。然而,在第7天,并没有观察到显著差异,表明 1%AA+8 ppm GO不适合作为鲜切生菜上的食源性病原体的消毒剂。此外,1%LA、2%LA、100 ppm SH、200 ppm SH和8ppm GO 处理后鼠伤寒沙门氏菌数目分别降低了 0.78、0.95、0.44、0.74 和 0.59 log CFU/g (图2),而1%LA+GO、2% LA+GO、100ppm SH+GO和200 ppm SH+GO处理后其数量分别下降到1.14、1.28、0.75和0.87 log CFU/g (图3),说明两者没有发生协同效应。
众多研究表明,栅栏技术不能提供协同消毒效果,但与单一消毒方法相比,它可以减少微生物的数量。对于大肠杆菌O157:H7和李斯特菌,四种组合的消毒效果与对鼠伤寒沙门氏菌的消毒效果相似(图3B和C)。
随着贮藏天数的增加,LA+GO组大肠杆菌O157:H7、李斯特菌和鼠伤寒沙门氏菌的数量均呈下降趋势,其中2%LA+GO组合在第3天和第7天的数量达到最低,均明显低于SH+GO组。综上,2%LA+GO组合是控制鲜切生菜食源性病原体的理想选择。
对于自然存在的微生物,在5个处理组合中,2%LA+GO组在第0天的计数最低(AMC、APC和M&Y分别为4.23、4.41和3.66)(图4A-C)。存储期间,对照组的AMC、APC和M&Y数目呈上升趋势。1% AA+GO组的AMC和APC呈上升趋势,第7天对照组的AMC和APC无显著变化,表明1% AA+GO可以刺激AMC和APC的生长。从第3天到第7天,与SH+GO组相比,2%LA+GO组的AMC和APC水平显著降低。在第7天,LA+GO组的AMC、APC和M&Y数目显著低于第0天,而SH+GO组,与第0天相比无显著差异。结果表明,2%LA+GO是控制鲜切生菜中天然存在的微生物的理想选择。

图3贮藏期间不同处理组合对对鼠伤寒沙门氏菌(A)、大肠杆菌O157:H7 (B)和李斯特菌(C)的消毒效果

图4 贮藏期间不同处理组合对AMC (A)、APC (B)、M&Y (C)的消毒效果
3. 不同处理组合对鲜切生菜品质性状的影响
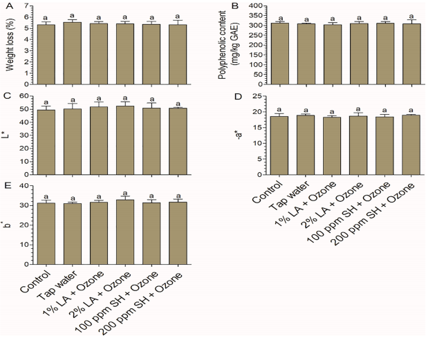
3.1 色泽
绿叶蔬菜的颜色直接影响消费者的购买欲望,因此将色泽与感官质量评价相结合变得十分重要。对于色泽本实验用L*、a*、b*指标进行评价,其中负到正分别表示暗到亮、绿到红、蓝到黄。众所周知,大多数类型的消毒剂都会对蔬菜叶片造成损害,损坏的程度也直接决定了它的质量。由于在1%AA+8 ppm GO处理的样品中观察到褐变斑点,因此没有对这一组的数据进行评估。其余四组的b*值与对照组相比无显著差异(图5E)。L*和a*用于评价绿叶蔬菜用消毒剂清洗后是否变色,处理后的样本与对照组相比也没有显著差异(图5C和D)。综上所述,当LA+GO组合处理时,绿叶生菜颜色没有受到负面影响。

图5消毒处理(7天)对鲜切生菜的品质性状的影响
3.2 多酚含量,单体酚含量,重量损失
多酚是植物重要的次生代谢产物,是防止人体细胞氧化损伤的关键营养素。贮藏7天后,对照组GAE含量为312.34 mg/kg(图5B),与文献报道一致。处理组与对照组之间无显著差异,说明处理对多酚含量没有负面影响。综合研究表明,UV-C和GO处理没有降低样本中的多酚含量,但单体酚含量略有减少。对于一些多酚含量较高的作物,GO处理还可进一步提高多酚物质的含量。
为了对处理后的酚类代谢物进行深入分析,研究比较了对照组和2% LA+8ppm臭氧组中单体酚含量的变化。因为酚酸是生菜中的主要酚类化合物,所以研究采用靶向代谢组学方法对19种酚酸进行了检测。结果表明,主要的单体酚有咖啡酸、对香豆酸和反式阿魏酸(图6)。这些酚类化合物在2%LA+8ppm臭氧处理后没有明显变化。然而,3,4-二羟基苯甲醛(原儿茶醛)、香草醛、丁香醛、苯甲酸和氢化肉桂酸的含量在处理后发生显著改变。其中3,4-二羟基苯甲醛和香草醛负责苯丙素类的生物合成,该类物质与生菜褐变有关。同样,苯丙酸也负责苯丙氨酸的代谢。消毒过程中造成的表面损伤是不可避免的。当损伤程度较大时,酚类化合物在多酚氧化酶的作用下与氧发生反应,从而引起褐变。因此,表面损伤程度决定了褐变程度。L*和a*可以反映褐变程度。贮藏结束时,处理组的L*和a*与对照组相似(图5C和E),说明生菜表面受到了轻微的损伤,没有引起明显的颜色变化。
在贮藏过程中,新鲜农产品的重量减少主要是由营养物质流失和水分分离造成的。随着消毒剂引起的损害程度的增加,酚类物质向醌类物质(褐变的关键标志)的转化和水的分离加速。在本研究中,对照组第7天重量减少5.33%(图5A),其他联合处理组结果类似。这些结果表明,组合处理造成的损伤较小,在随后的贮藏过程中也可引起叶片组织的自我修复,而不会造成酚类物质和重量的损失。

图6 鲜切生菜的酚酸谱
3.3 感官质量
感官的色、味、脆是影响消费者接受度的关键因素。感官评价结果如图7所示。贮藏结束时(7天),处理组与对照组感官评分无显著差异(图7C),这与上述颜色分析结果一致(图5C-E)。而且在本研究中,四种处理组合对脆度也没有影响(图7B)。分析结果表明,四种组合对感官风味没有负面影响(图7A)。

图7消毒处理(7天)对鲜切生菜感官品质的影响
总 结
本研究提出了一种非浸泡式消毒方法,以达到降低消毒剂用量和交叉污染风险的目的。将雾化消毒剂与GO结合对鲜切生菜进行消毒。结果表明,LA+GO和SH+GO可以显著减少食源性病原体和自然存在的微生物的数量,2%LA+8ppm GO的效果最好。这些发现为有机酸和GO在新鲜农产品消毒中的应用提供了重要见解。
本研究的酚酸靶向检测以及数据分析工作均由上海派森诺生物科技有限公司完成。
更多项目资讯请关注派森诺官网