2022-01-19

期刊:《Journal of Hazardous Materials》
影响因子:10.588
文章题目:Comparative transcriptome analysis reveals the differential response to cadmium stress of two Pleurotus fungi: Pleurotus cornucopiae and Pleurotus ostreatus
技术手段:RNA-seq, RT-qPCR
派森诺生物与四川大学携手合作,在《Journal of Hazardous Materials》上发表姬菇和平菇对镉胁迫响应的转录组比较的研究成果。
研究背景
镉(Cd) 作为一种常见的重金属,被认为是一种生态风险,从而引起了广泛的关注。研究降低生态系统特别是耕地Cd风险,是目前所迫切需要的。真菌修复是一种基于大型真菌的生物积累和生物降解来消除环境中的污染物的生物修复技术。侧耳属对重金属的真菌修复有非常大的潜力,然而,关于大型真菌特别是侧耳菌对重金属的耐受和积累的分子机制的知识仍然非常有限。因此本研究以非常受欢迎的食用真菌平菇和姬菇为模型,研究了大型真菌对Cd胁迫的响应机制。
研究内容
对镉胁迫的反应和镉的去除能力
培养7d后,通过测定培养液pH、菌丝体DW(生物量)、Cd去除效率和Cd积累量,对不同Cd胁迫条件下姬菇和平菇进行评价。在不同Cd处理(CK: 0mg/L、0.5:0.5mg/L、1:1.0mg/L、5.0mg/L、10:10.0mg/L、20:20.0mg/L)下,培养基pH均无显著差异(图1A)。当Cd浓度为0.5mg/L时,两种菇的生物量均略有增加,高Cd胁迫下平菇和姬菇的生物量均显著下降(图1B)。如图1C所示,随着Cd的增加,姬菇对Cd去除持续升高,平菇的去除率则以不同的方式增加。同时,随着环境中Cd浓度的增加,两种真菌细胞内Cd的含量都增加(图1D)。

图1不同Cd处理下的pH值(A),生物量(B), Cd去除率(C)和Cd浓度(D)
选择0、1.0和20mg/L的Cd处理来研究Cd的毒性(图2)。与生物量相似,20mg/L的Cd处理显著降低了菌丝球的大小,而CK和Cd1的菌丝大小没有显著差异。此外,SEM图像显示,Cd处理后菌丝表面无宏观结构差异,说明Cd不会触发真菌细胞壁的结构转变。EDXMA结果证实了Cd存在于菌丝表面,表明Cd由菌丝积累。

图2 形态学上的毒力效果 A:cd处理后的扫描电镜;B:切片采用能量色散x射线能谱(EDX)分析,在Cd处理下菌丝表面检测到微量Cd
转录组测序及差异分析
对原始数据过滤后进行拼接,平菇得到166,175条转录本和46,684条unigene,姬菇组装得到1668,731条转录本和47,267 条unigenes,并对unigene进行功能注释。通过zscore标准化表达值分别绘制平菇和姬菇的聚类热图(图3)。通过差异分析结果表明,与平菇相比,姬菇对Cd胁迫更为敏感,从而限制了其金属积累能力。平菇的基因表达变异低于姬菇,这意味着平菇可以积累和耐受更多的Cd。分析不同Cd浓度下的基因表达差异,平菇中的差异表达基因数目远高于姬菇,分别鉴定出12551个和708个DEGs。对于姬菇和平菇,1mg/LCd处理下的DEGs少于20mg/L,这可能导致了CK和1 mg/LCd处理之间的生物量差异不显著(图1B)。

图3 基因聚类热图
差异基因GO富集分析与Cd转运途径的差异
GO富集分析结果(图4)表明,通过BP类别结果发现,菌丝的代谢和活性受到Cd的影响。在CC类别的结果则表明Cd对姬菇的细胞膜或细胞结构具有一定的破坏作用。尤其是平菇,它可以启动多种途径来抵消这种破坏性影响。而在MF类别中,平菇的“催化活性”比姬菇更丰富,说明平菇能够产生更多的抗氧化剂来清除细胞内ROS,保护细胞免受重金属胁迫。
Cd转运相关基因在Cd积累过程中发挥重要作用。通过关键基因的差异表达情况,尤其是与ABC转运体相关的135个内吞和吞噬体相关基因在平菇显著过表达,这意味着Cd在平菇中的转运是通过一个更复杂的过程进行的,该过程涉及转运蛋白而不是ABC转运蛋白。

图4 差异基因GO富集分析
关键基因的分析、讨论及qpcr验证
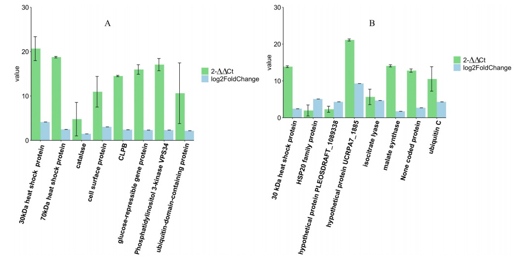
随后本研究深入讨论了与Cd耐受相关基因的差异表达,通过SOD、POD和CAT等活性检测验证转录组结果。结果发现,这两个物种在基因转录和酶活性上的差异表明了它们不同的毒性反应策略。在高Cd胁迫下,平菇的抗氧化酶活性显著高于姬菇,表明平菇能够耐受较高的Cd胁迫。通过分析MAPK信号通路在姬菇和平菇中的差异表达,结果表明:1)Cd可导致姬菇细胞壁受损,而平菇细胞壁不受Cd的影响;2)多个过表达的MAPK通路关键酶基因可帮助平菇适应Cd胁迫。随机选取8个高表达的基因进行RT-qPCR分析,验证RNA测序表达数据的准确性(图5)。

图5 RT-qPCR验证8个基因在平菇和姬菇中的表达
研究结论
在低水平Cd胁迫(≤1mg/L)下,姬菇和平菇均未受到生理和转录水平的影响,而在高水平Cd胁迫(20mg/L)下则发生严重的抑制和表达差异。尽管系统发育关系密切,但两种蘑菇对Cd胁迫的响应机制存在显著差异。MAPK信号通路在两种真菌中似乎介导了Cd的解毒作用,而过氧化物酶体途径在平菇中可能作为planB。这些结果为Cd污染水和土壤的真菌修复提供了重要线索,不仅填补了真菌在转录组水平上的生物学响应的空白,而且可以指导以环境修复为目的的生物反应器的选择。
本研究的RNA测序和数据分析工作由上海派森诺生物科技有限公司完成。

