2022-05-23

Journal of Hazardous Materials
影响因子:10.588
文章题目:Tris(1,3-dichloro-2-propyl) phosphate reduces longevity through a specific microRNA-mediated DAF-16/FoxO in an unconventional insulin/ insulin-like growth factor‑1 signaling pathway
发表期刊:Journal of Hazardous Materials
技术手段:small RNA-seq
派森诺与上海大学携手合作,于近期在Journal of Hazardous Materials 上发表了TDCPP对秀丽隐杆线虫寿命影响及作用机制的研究成果。
研究背景
作为多溴联苯醚的重要替代品,磷酸三(1,3-二氯-2-丙基)酯(TDCPP)在全球多种环境介质中频繁检出,对生态系统和人体健康构成严重威胁,TDCPP具有致癌致畸性、神经毒性、发育毒性、生殖毒性及内分泌干扰等毒性效应。在此背景下,本研究选取秀丽隐杆线虫为寿命研究模型,阐述了TDCPP诱导的毒性效应及作用分子机制,系统的研究TDCPP对生物体寿命影响及作用机制,采用多学科交叉方法,运用small RNA组学、生物信息学等技术,鉴定了TDCPP降低寿命显著相关的靶标基因、蛋白及生物标志物,探究TDCPP降低寿命的关键信号通路。
技术路线

研究结果
1.TDCPP处理的线虫Small RNA测序
为了了解TDCPP胁迫后的寿命调控机制,进行了小RNA测序,对总RNA进行质检,构建小RNA文库,经过过滤得到了高质量小RNA reads(图1a),利用miRBase数据库对其进行注释,并对每个样本中的小RNA类型进行了统计(图1b),每组大约鉴定到了329-341个已知的miRNAs,用于后续的miRNA生物信息学分析。

图1
2.已知miRNA的差异表达分析
利用DESeq软件,筛到41个miRNAs显著差异表达,其中有20个上调的miRNAs以及21个下调的miRNAs,并对这些差异基因做热图(图1c)。然后,使用 miranda 以秀丽线虫的 mRNA 的 3’UTR序列为目标序列,对差异表达的 miRNA 序列,进行靶基因预测。共预测到了4234个靶基因,并对靶基因进行了GO和KEGG富集分析,其中GO富集中有3个条目与寿命有关(图2a),KEGG富集中有5个pathway与线虫的衰老和寿命有关(图2b)。

图2
3.鉴定非常规IIS信号通路中与寿命相关的miRNAs
统计了上述结果中的5个KEGG 通路上的所有靶基因,通过韦恩图展现了每个通路上共有特有的mRNA(图3a),其中akt-1和akt-2这两个基因是5个通路上共有的靶基因。为了进一步探讨TDCPP胁迫线虫寿命下降的机制和miRNA表达的变化,研究确定了在非常规IIS信号通路有8个差异表达的miRNA以及对应的靶基因。其中,一个重要的编码长寿的基因daf-16受3个miRNA和34个靶点调控。图3B是这8个差异表达的miRNAs在火山图中位置,然后又通过RT-qPCR来验证结果的可靠性,结果表明,RT-qPCR结果与小RNA测序结果基本一致(图3C.3D)。基于这些结果,利用Cytoscape软件构建了一个初步的相互作用网络图(图4),该网络图揭示了miRNAs和mRNAs的相互作用关系,也进一步表明了TDCPP降低线虫寿命的作用机制。

图3

图4
4 .TDCPP 与 cel-miR-48–5p/cel-miR- 84–5p分子对接
为了更直接表明相互作用,本研究在TDCPP和cel-miR-48-5p/cel-miR-84-5p之间进行了分子对接。通过三维结构、对接分数和氢键都表明cel-miR-48-5p和cel-miR-84-5p与TDCPP有很强的结合能力,比较直观的表明了TDCPP胁迫下这两个miRNAs参与了线虫寿命的调控。

图5
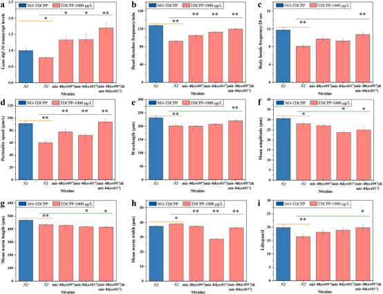
5. miR-48和miR-84在线虫寿命系统中的调控作用
为了进一步探讨这两个miRNA对寿命的分子调控机制,本研究选择了3个敲除突变的线虫样本,(1)miR-48(N4097),(2)miR-84(N4037),(3)双突变体,并设立了氮气对照组,评估了突变组与对照组在TDCPP(1000μg/L)胁迫后daf-16转录水平以及线虫的行为能力、身体发育和寿命等指标(图6),结果显示对照组中daf-16转录水平显著下降,而两个突变组的daf-16转录水平显著上调,双突变组中上调则更显著。此外,本研究还探索了下游基因mtl-1的转录水平,TDCPP胁迫下突变组中mtl-1的转录水平显著高于对照组。有研究表明mtl-1是DAF-16/FoxO信号通路的下游靶点,miR-48和miR-84不仅影响daf-16的转录水平,而且还抑制其下游靶标mtl-1的表达。

图6
文章小结
本文通过研究发现TDCPP胁迫后上调的miR-48和miR-84(let-7家族成员)不仅抑制DAF-16/FOXO,还抑制其下游靶标mtl-1的表达,进而损害线虫运动行为,降低寿命。此外,还发现miR-48和miR-84可能与线虫的发育有关。该结果有助于更深层次了解TDCPP的毒性效应和作用机理,为构建环境氯代有机磷酸酯污染的生态毒理和健康风险预警及防控措施提供科学依据。
本研究的测序和数据分析工作由上海派森诺生物科技有限公司完成。

