
2022-12-19

《Infection, Genetics and Evolution》
影响因子:4.393
近日,汕头大学在医学领域的《Infection, Genetics and Evolution》发表新研究成果!本研究通过组装注释获得了伊蚊族刺扰伊蚊和里海伊蚊两个物种的完整线粒体基因组,并进行系统发育分析。结果表明刺扰伊蚊和伊蚊属物种聚集在一个姐妹类群,里海伊蚊和骚扰亚蚊属物种聚集在一个姐妹类群,且所有类群都成单系。研究结果为进一步研究伊蚊族的分类学、群体遗传学和系统学提供了重要的分子标记资源。
研究背景
蚊科(Culicidae)是最成功的昆虫类群之一,大多数物种可分为按蚊亚科(Anophelinae)和蚊亚科(Culicinae)两个亚科。蚊亚科是一个多系亚科,共有3048种,分为38个属和11个族,被认为是最大的亚科。大多数种类的蚊子对爬行动物和哺乳动物(包括人类)表现出嗜血行为,因此,它们可以作为几种病原体的媒介。已知伊蚊属(Aedes)和骚扰蚊亚属(Ochlerotatus)传播登革热、基孔肯雅病毒和黄热病病毒。一些新出现的病原体,如寨卡病毒,起源于森林环境。它们在野生动物和节肢动物媒介物种(包括蚊子)之间循环;然而,对这些病原体的循环知之甚少。由于某些生命阶段物种之间的形态同质性以及缺乏必要的分类学专业知识,很难快速准确地鉴定载体物种。系统发育分析可用于识别入侵伊蚊族(Aedini)族的姐妹物种,了解入侵Aedini族物种的相互亲缘关系及其进化的时间非常重要,可以了解它们在病原体传播周期中的作用。
尽管Aedini族具有医学意义,但目前公开的基因组数据有限。考虑到线粒体(MT)基因组标记在蚊子分子分类学研究中的巨大潜力,在本研究中,首次使用下一代测序(NGS)技术对刺扰伊蚊(A. vexans)和里海伊蚊(O. caspius)的线粒体基因组进行测序,并对A. vexans和O. caspius的完整MT基因组进行测序和分析,通过MT基因组中13个蛋白质编码基因的氨基酸序列评估这两个物种的系统发育学位置。
研究材料与方法
1.实验材料:蚊子样本收集于中国黑龙江省
2.测序平台:Illumina NovaSeq
3.分析内容:线粒体基因组测序、比较基因组学分析、密码子偏好性分析、选择压力分析、核苷酸多样性分析、系统发育分析
研究结果
1. 刺扰伊蚊和里海伊蚊线粒体基因组特征
A. vexans和O. caspius的完整线粒体(MT)基因组长度分别为15,861 bp和15,954 bp(图1),为环状双链DNA分子。两个MT基因组都包含37个功能和保守的亚基:13个PCG(包括cox1-3、nad1-6、nad4L、atp6、atp8和cytb)、22个tRNA和2个rRNA(rrnL和rrnS)。这两个物种MT基因组的平均AT含量为78.54%(A. vexans)和79.36%(O. caspius),这与先前报道的蚊子MT基因组的特征相似。

图1:A. vexans和O. caspius线粒体基因组结构图。
A. vexans(15,861 bp)的MT基因组长度与A. notoscriptus(15,846 bp)相似,但略短于A. alboanullatus(16,181 bp)。在Ochlerotus属中,O. caspius的线粒体基因组长度(15,954 bp)与O. nigritrax(15,943 bp)相似,略长于O. vigiax(15,877 bp)。这两种蚊子的整个MT基因组的核苷酸组成偏向于A和T, A+T含量、AT偏移和GC偏移基本一致。此外,控制区的长度为A. vexans(948 bp)和O. caspius(1026 bp),这两个区域的长度与A. alboanullatus(1072 bp)、A. notoscriptus(939 bp)和O. nigritrax(1066 bp)不同。
2. 蛋白编码基因特征
O. caspius和A. vexans两个MT基因组都有13个PCG,PCG区长度分别为11,215 bp和11,217 bp,AT含量分别为78.57%和77.51%。所有13个PCG(除了带有TCG的cox1和带有GTG的nad5)使用ATN作为起始密码子,ATG是最常用的,其次是ATT,所有PCG使用TAA作为标准终止密码子。ATN、TTG、GTT和GTG被用作无脊椎动物MT基因组的典型起始密码子,大多数蚊子PCG使用ATN作为起始密码子。对MT基因组组成不对称性的分析表明,AT偏移值为正值(A. vexans 0.02,O. caspius 0.01),而GC偏移值为负值(A. vexens - 0.17,O. caspius - 0.16)。A. vexans MT基因组内的AT偏移值范围为-0.04(atp8和rrnS)至-0.26(nad1);GC偏移值范围为-0.04(cox1)至0.36(nad4L)。O. caspius MT基因组内的AT偏移值范围为-0.05(rrnS)至-0.26(nad1);GC偏移值范围为-0.2(nad3)至0.38(nad4L)(图2)。昆虫MT基因组表现出明显的基于链的核苷酸组成偏差,这是由于复制或转录相关的突变。

图2:线粒体基因组的AT/GC含量和AT/GC偏移。
A. vexans MT基因组中的PCG包含3499个氨基酸,包括145个强碱性氨基酸(K、R),155个强酸性氨基酸(D,E)、1614个疏水性氨基酸(A,I,L,F,W,V)和949个极性氨基酸(N,C,Q,S,T,Y)。类似地,在O. caspius中有3488个氨基酸,强碱性、强酸性、疏水性和极性氨基酸的数量分别为146、156、1610和943。密码子使用偏差(CUB)分析表明几乎所有的密码子都用于两个MT基因组。然而,GCG(Ala)仅在A. vexans MT基因组中使用,而CGC(Arg)仅用于O. caspius MT基因组。UUA(Leu1)是A. vexans MT基因组中最常见的密码子,其CUB值为11.93,O. caspius MT基因组中,最常见的密码子是UUU(Phe)。CGG(Arg)是A. vexans MT基因组中最不频繁的密码子,CUB值为0.05,GCC(Ala)是O. caspius MT基因组中频率最低的密码子(CUB值0.03)(图3)。RSCU偏好与CUB相似(图4)。以A或U结尾的密码子比以CG或GC结尾的密码更频繁使用,这是一些双翅目昆虫的共同特征。

图3:线粒体基因组的密码子使用偏差(CUB)。

图4:线粒体基因组的相对同义密码子使用度(RSCU)。
3. 核糖体RNA基因分析
两个RNA基因(rRNA,rrnL和rrnS)在两个MT基因组中的位置相同,有趣的是,AT含量非常相似,尽管几乎所有物种都来自不同的属;AT偏差为负,GC偏差为正(图2)。此外,这两个rRNA的长度保守,与以往蚊子MT基因组研究所得的数值一致。
在A. vexans和O. caspius MT基因组中,22个tRNA的总长度分别为1494 bp和1489 bp,单个基因长度从69 bp到72 bp不等 。通过对22个tRNA的结构预测,21个tRNA具有经典三叶草叶状结构。剩下的一个tRNA,即Ser1,显示了DHU臂缺失的显著特征,它被一个环取代,类似的特征已在早期对伊蚊科和其他昆虫的研究中报道。
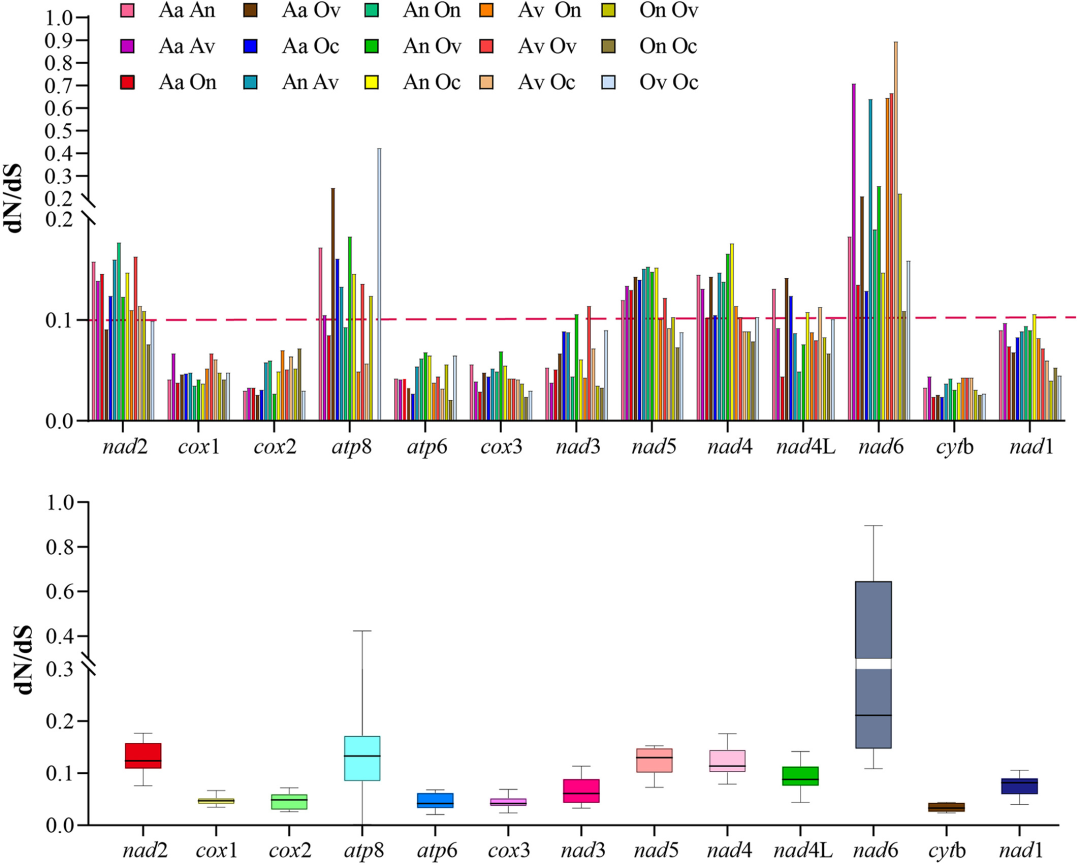
4. 进化分析
为了验证作用于蛋白质编码MT基因组不同区域的进化压力,进行了非同义和同义替换率(dN/dS)分析。结果表明,在负选择作用下,不同区域整体发生了进化,dN/dS值<1,比率从cytb值(0.024–0.044)到nad6值(0.109–0.895)不等。根据获得的平均值,进化压力的影响顺序如下:cytb<cox1<cox3<atp6<cox2<nad3<nad1<nad4l<nad4<nad5<nad2<atp8<nad6(图5)。

图5:非同义(dN)与同义(dS)核苷酸替换率的比率。
此外,研究还评估了线粒体序列与Aedini族其他成员的线粒体序列之间的核苷酸多样性(π值)。结果显示Aedes的π值在0.04和0.7之间,Ochlerotus的π值在0.16和0.66之间。所分析的MT基因组的蛋白质编码区nad5、nad4、nad4L、nad6和nad1在评估的三组序列中显示出较高的核苷酸多样性比率(图6)。

图6 线粒体基因组的核苷酸多样性(π)
5. 系统发育分析
使用来自30个分类群的13个PCG基于两种分析方法(BI和ML)进行系统发育分析(图7)。蚊科包括29个分类群形成一个单系大类群,以Dixella aestivalis为外类群。库蚊科呈现了一个拓扑结构,有两个支撑良好的分支,对应于按蚊亚科和蚊亚科。按蚊亚科包含6个物种,分为三个亚类。Culicinae亚科的支序包含23个分类群,分为三个子类,分别代表Aedini、Culicini和Sabethini族。系统发育分析结果将A. vexans其归入Aedini族,根据当前的分类分类,该族呈现了一个支持良好的Aedes属分支。而O. caspius聚集在以O. nigritrax + O. vittiger的拓扑结构所代表的Ochlerotus属,Haemagogus作为姐妹群被恢复。

图7 13个PCG氨基酸系统发育分析。
结 论
本研究通过对线粒体基因组测序、组装和注释,首次报道了伊蚊族刺扰伊蚊和里海伊蚊两个物种完整线粒体基因组。并通过对线粒体基因组中13个蛋白质编码基因的氨基酸序列进行了系统发育分析,确定了两个物种的系统发育学位置。随着伊蚊科物种线粒体基因组公共数据库的完善,将能够进行更全面的系统发育重建分析,阐明其系统发育关系。
本研究的denovo测序和部分分析由上海派森诺生物科技股份有限公司完成。如需进一步讨论,欢迎发邮件或者致电我们哟(邮箱地址:microsupport@personalbio.cn,联系电话:025-56165883-832)!
文章索引:Ma, X. X., Wang, F. F., Wu, T. T., et al. First description of the mitogenome and phylogeny: Aedes vexansand Ochlerotatus caspius of the Tribe Aedini (Diptera: Culicidae). Infection, Genetics and Evolution (2022). https://doi.org/10.1016/j.meegid.2022.105311.