2025-10-19

文章题目:Integration of metabolomic and transcriptomic analyses reveals the mechanism of anthocyanin accumulation in purple leaves of Brassica juncea var. Foliosa
南充市农业科学院蒲全明老师团队在《BMC Plant Biology》上发表了项目文章,结合多组学技术系统研究了紫叶芥菜中花青素积累的分子机制,为紫叶芥菜育种工作构建了分子层面的理论框架。本研究中转录组和代谢组检测及部分数据分析工作由上海派森诺生物科技股份有限公司完成。
研究背景
芥菜是十字花科蔬菜中的重要品种,品种繁多,适应性强,营养价值高。与绿叶芥菜相比,紫叶芥菜因其富含花色素而具有更强的抗氧化能力和工业价值。然而,紫叶芥菜中花色素积累的机制尚不明确。
研究方法
研究材料:
两种芥菜品种,分别是紫色叶片品种“mu_Z”和绿色叶片品种“WT”
研究技术:
转录组,代谢组,qRT-PCR,生理指标测定
研究路线

研究结果
1、mu_Z的形态生长特征
在播种后第20、30、40、60及100天,观察植株形态。两种植株的形态特征均未呈现显著差异。但mu_Z植株叶片始终保持着独特的深紫色调。在播种后20、60和100天的观测中,两组植株的株高、株宽及重量均无明显变化。表明除叶片颜色存在差异外,两种植株在生长形态及其他特性上均未表现出显著区别。

图1 WT与mu_Z植株在不同生长阶段的形态特征
2、mu_z色素含量的测定
在播种后20天、60天和100天时,mu_Z叶片中的花青素含量均显著高于WT叶片,叶绿素a、叶绿素b、总叶绿素及类胡萝卜素含量均未呈现显著差异。结果表明WT与mu_Z植株间观察到的颜色差异,主要源于花青素积累量的差异。

图2 WT和mu_Z在生长周期中叶片色素含量的测定
3、代谢组学特征分析
通过LC-MS技术分别对WT和mu_Z植株进行代谢组学分析(n=4),共检测到1018种代谢物。聚类热图和主成分分析(PCA)结果显示WT与mu_Z组样本聚类良好。与WT相比,mu_Z植株中共鉴定出81种差异代谢物(DEMs)。其中44种呈现显著上调趋势,而37种则显著下调。

图3 WT与mu_Z代谢组特征分析。
KEGG富集分析表明,代谢途径、辅因子生物合成、ABC转运蛋白、核苷酸代谢及嘌呤代谢等通路显著富集。通过差异丰度评分(DA评分)分析发现,苯丙氨酸、酪氨酸和色氨酸生物合成通路,黄酮及黄烷醇生物合成通路,花色素生物合成通路以及黄酮类化合物生物合成通路中的DEMs呈现上升趋势。这一结论通过KEGG热图分析得到进一步验证。

图4 KEGG对差异丰度代谢物进行注释与富集分析
4、与花青素相关的差异代谢物分析
从DEMs中筛选出与花青素合成相关的特定代谢物,并对其展开深入研究,旨在阐明芥菜紫叶形成的物质基础。
结果表明,参与苯丙氨酸合成途径的几种代谢物水平在mu_Z中显著升高,这些代谢物是花青素合成的前体。此外,两种品种间黄酮类化合物的表达水平也存在差异,大量花青素在mu_Z中的表达量也呈现上升趋势。综上所述,参与苯丙氨酸合成与黄酮代谢的大多数特异性代谢物在mu_Z中积累显著增加,这表明花青素的积累过程与苯丙氨酸合成及黄酮代谢密切相关。
5、转录组学特征分析
对WT与mu_Z植株进行转录组学分析(n=3),共鉴定出83512个基因。相关性和PCA分析表明样本组内重复性良好,证实转录组数据具有高可靠性。根据|log2FC|>1且P<0.05的标准筛选差异表达基因,共鉴定到13127个差异表达基因(DEGs),其中3363个上调,9764个下调。聚类分析显示,WT和mu_Z菌株之间的差异表达基因具有不同的聚类模式和相反的表达谱。

图5 转录组特征分析
对DEGs进行注释及富集分析。苯丙氨酸代谢、黄酮类化合物生物合成、苯丙烷类化合物生物合成、黄酮醇与黄酮类化合物生物合成以及花青素生物合成等通路均呈现显著富集现象。KEGG富集分析显示,上调基因在花青素相关通路中富集程度更高。结果表明,紫色叶片的形成与花青素相关通路存在密切关联。

图6 差异表达基因的注释与富集分析
6、花色素相关差异表达基因分析
基于转录组结果,在黄酮类-花青素途径筛选到24个DEGs。其中两个参与花青素合成的基因在mu_Z中显著表达。此外,黄酮类途径中的关键基因,在mu_Z中高表达。另外两个黄酮醇3-O-葡萄糖基转移酶(3GT)基因在mu_Z中的表达水平也高于WT。
7、联合转录组学与代谢组学分析
联合分析显示,有791个差异基因和差异代谢物具有对应关系。共富集通路分析显示,与花青素合成密切相关的花青素合成、黄酮和黄酮醇生物合成、类黄酮生物合成、苯丙氨酸代谢和苯丙素生物合成通路显著共富集,揭示mu_Z紫色叶片的形成与花青素的积累有着复杂的联系。

图7 转录代谢联合分析
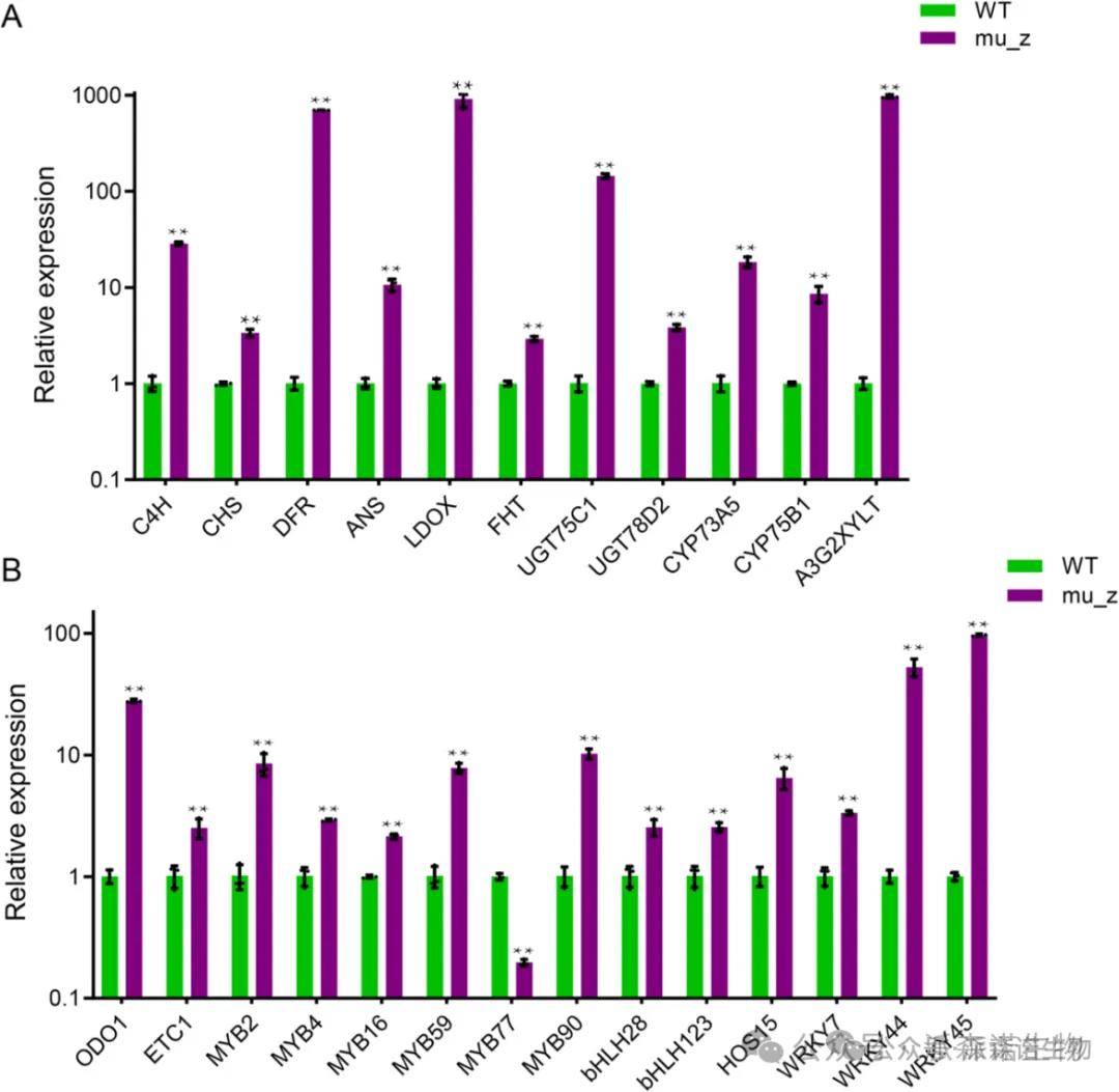
8、通过qRT-PCR验证花青素积累相关基因的表达
相较于WT,与花青素合成相关结构基因(C4H、CHS、DFR、ANS、LDOX和FHT),与成熟花青素生物合成和修饰相关基因(UGT75C1、UGT78D2、CYP73A5、CYP75B1和A3G2XYLT)以及花青素生物合成途径的关键调控因子(MYB、bHLH、WD40和大部分WRKY家族成员)在mu_Z中显著高表达。验证结果和RNA-seq结果一致。

图8 qRT-PCR验证基因
研究结论
本研究通过多组学分析和qRT-PCR技术发现,芥菜叶片变紫的现象源于花青素生物合成相关基因表达量的增加,同时伴随花青素代谢物的积累。这一发现为解析芥菜中花青素代谢与合成的遗传调控机制提供了关键见解,为紫叶芥菜的育种工作构建了分子层面的理论框架。
原文索引
https://doi.org/10.1186/s12870-025-07419-4

