2017-08-03

近期,派森诺生物与江南大学合作,在《Journal of Agricultural and Food Chemistry》(影响因子2.857)发表论文,通过对中国半干黄酒的工业发酵过程中的生物胺代谢进行研究,揭示黄酒中生物胺含量与代谢产物及微生物组成之间的内在联系。
研究背景
黄酒是以谷物为原料,经过多种微生物共同参与,糖化和发酵而成的一种低酒精度发酵酒,是我国国粹之一,与啤酒、葡萄酒并称为世界三大古酒。作为我国的一种发酵酒,开放式、多菌种发酵技术造就了黄酒风味醇厚、馥香的特点,但是发酵过程复杂、难以控制,易产生一些潜在的有害物质,生物胺就是其中之一。
生物胺是一类碱性含氮化合物,存在于动植物组织、食品、含酒精的发酵饮料中。少量的生物胺对生物有机体具有良好的生理调节作用,而过量摄入则会引发不良生理反应,严重时甚至可能危及生命。研究表明,黄酒发酵过程中产生的生物胺可高达115 mg/L,远高于啤酒和葡萄酒。因此,降低黄酒发酵过程中的生物胺含量、提高黄酒的安全质量水平势在必行。
研究目的
本研究通过对中国半干黄酒的工业发酵过程进行监控检测,探索黄酒工业发酵过程中生物胺的含量与发酵代谢产物(氨基酸、总酸、总糖、酒精)含量及微生物(乳酸菌、酵母菌、霉菌)组成之间的内在联系,旨在找到导致发酵过程中生物胺含量偏高的“元凶”。
研究方法
测序技术:Illumina MiSeq高通量测序平台
测序模式:微生物组细菌16S rRNA V3V4区测序
实验对象:半干黄酒
实验设计:在如下发酵流程图中所示的1-11处分别取样:1.蒸饭;2、3.落缸发酵;4.淋水;5.填料;6、7、8.主发酵;9、10、11.后发酵。

研究结果

对发酵过程中不同发酵天数的微生物菌落数(乳酸菌、酵母菌、霉菌)、酒精含量及生物胺(BA)含量进行检测,结果显示,在罐装(第1.5天)和主发酵初期(第5天),BA的生成速率最高。主发酵阶段的BA生成量对BA总量的贡献率大。发酵过程中,乳酸菌(LAB)及酒精含量的变化趋势与BA一致。

对发酵过程中生物胺的种类及各种类的生成速率进行统计,结果发现,8种生物胺在不同发酵阶段的生成速率和含量是相似的,变化规律也一致。其中,腐胺(PUT)在所有BA中的占比高,其次为酪胺(TYR)和组胺(HIS)。

通过对11个不同采样点的样本进行细菌16S rRNA基因测序,并对数据进行PCA主成分分析发现,相同发酵阶段样本间的差异较小,不同发酵阶段之间具有较大差异(除了蒸饭和淋水、填料)。BA含量与总酸(Acid)、酒精(Ethanol)、总氨基酸(AA)、乳酸菌(LAB)及酵母菌(Yeast)含量呈正相关,与霉菌、总糖含量呈负相关。

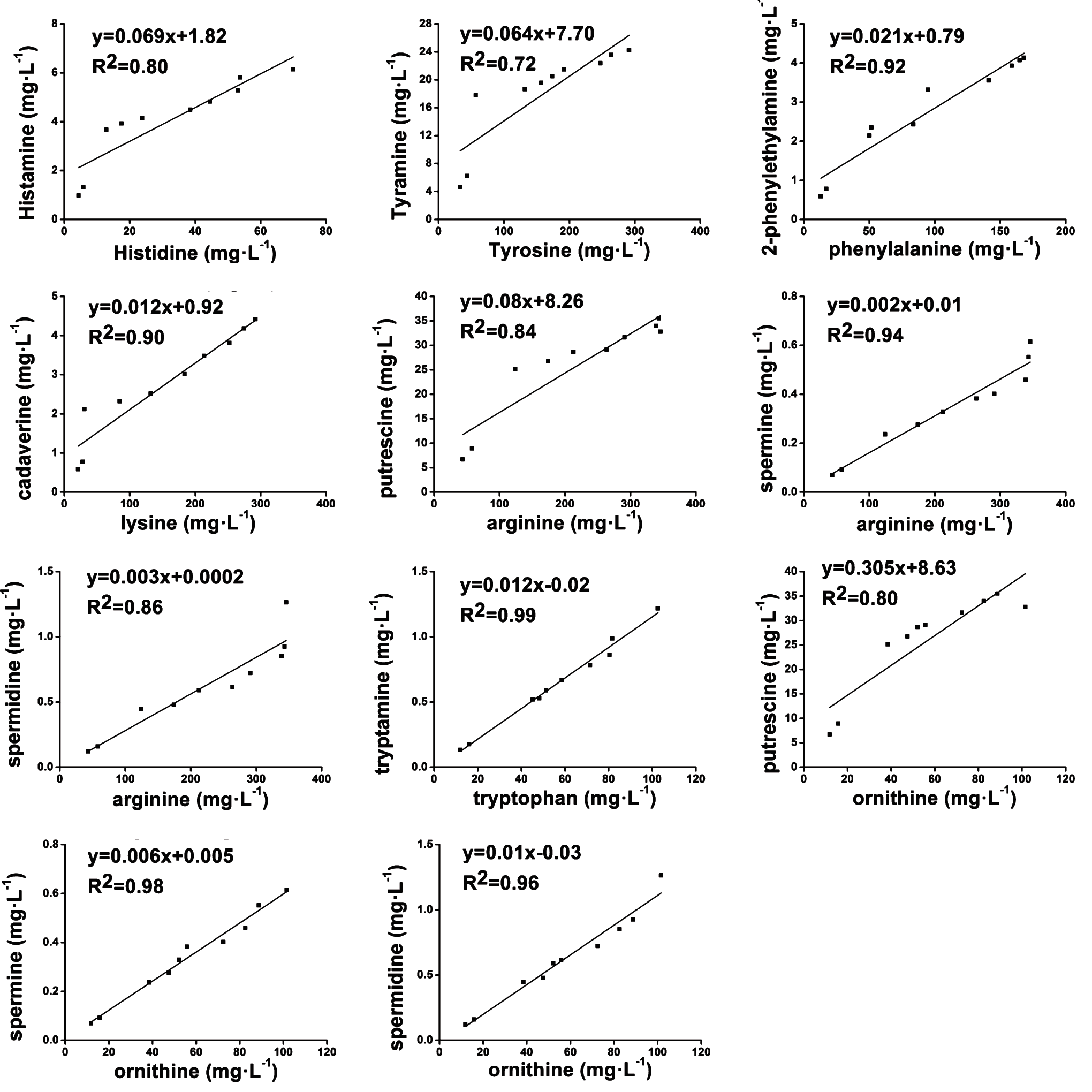
BA总量与总酸、酒精、LAB、总氨基酸含量的线性回归分析结果显示,BA总量与全酸、酒精、LAB、总氨基酸含量之间均具有良好的线性关系。

由于生物胺是由相应的氨基酸脱羧产生,因此各生物胺的含量与其对应的氨基酸也具有良好的线性关系。

对不同取样点的样本中的乳酸菌含量进行统计,结果发现,在黄酒发酵过程中Streptococcus、Lactococcus、Lactobacillus、Leuconostoc及Pediococcus是在属水平上具优势的5个物种。PCA主成分分析结果显示,不同发酵时期的样本微生物组成具有较大差异。此外,BA的含量与Lactobacillus、Lactococcus呈正相关,与Streptococcus、Leuconostoc和Pediococcus呈负相关。

在主发酵阶段过后,尽管氨基酸和乳酸菌含量很高,但是BA的生成速率却下降了,这意味着从第7天开始,氨基酸脱羧酶的活性下降了。
总结
本研究表明,黄酒发酵过程中,BA的形成跟总酸、酒精、LAB、总氨基酸含量有关,LAB和氨基酸的含量直接决定了BA的形成。LAB的种类决定了氨基酸脱羧酶的活性,进而决定了氨基酸的脱羧效率,即BA的生成速率。
本研究的测序和数据分析工作由上海派森诺生物科技股份有限公司完成。
文章索引:Xia X, Zhang Q, Zhang B, et al. Insights into the Biogenic Amine Metabolic Landscape during Industrial Semidry Chinese Rice Wine Fermentation[J]. Journal of Agricultural and Food Chemistry, 2016, 64(39): 7385-7393.
点击链接,查看原文献:http://pubs.acs.org/doi/abs/10.1021/acs.jafc.6b01523

